zadnja posodobitev :
18/03/2026
Antibiotik   Gentamicin sulfate  
Brizgalka
Kapljice za oči
Stabilnost raztopine Stabilnost mešanice Faktorji, ki vplivajo na stabilnost Kompatibilnost način aplikacije Viri pdf
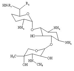
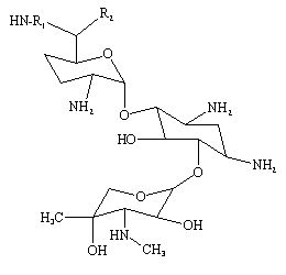
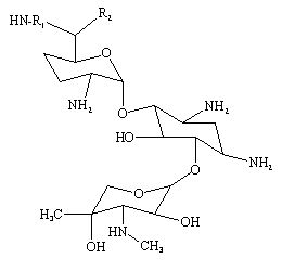
   Kemična formula  

Lastniško ime   Lastniško ime     

Sestava pomožnih snovi je med paralelami lahko različna

Azupel Peru
Cidomycin Egipt, Tunizija, Velika Britanija
Dabroson Grčija
Epigent Egipt
Garalone Portugalska
Garamicina Brazilija, Ekvador, Kolumbija, Mehika
Garamycin Danska, Egipt, Grčija, Hrvaška, Indija, Nizozemska, Norveška, Poljska, Švica, Združeni arabski emirati
Genmisin Turčija
Gensif Turčija
Gensumycin Finska, Norveška, Švedska
Genta-Gobens Španija
Gentalline Maroko
Gentamen Maroko
Genticin Irska, Velika Britanija, Združeni arabski emirati
Gentreks Turčija
Hexamycin Danska
Plurisemina Argentina
Refobacin Avstrija, Egipt, Kolumbija, Nemčija
Rupegen Argentina
način aplikacije   način aplikacije :Gentamicin sulfate     
Voie
Intravensko
Intravenska infuzija
Intramuskularno
Podkožno
intratekalno
intraventrikularno
Subkonjiuktivalno

  Mentions Légales