Siste oppdatering :
18/03/2026
Antibiotika   Gentamicin sulfate  
Injeksjon
Øyedråper
Oppløsningsstabilitet Stabilitet i blandinger Faktorer som påvirker stabiliteten Kompatibilitet Administrasjonsmåte Referanser pdf
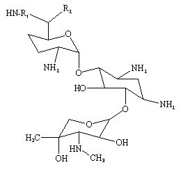
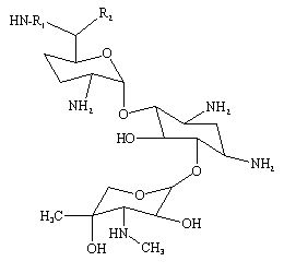
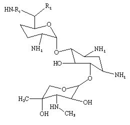
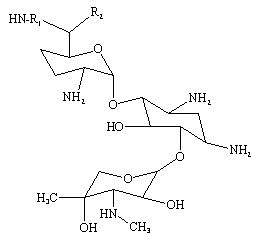
   Kjemisk struktur  

Handelsnavn   Handelsnavn     

Handelsnavn er veiledende og sammensetning av hjelpestoffer kan være forskjellig avhengig av land og produsent

Azupel Peru
Cidomycin Egypt, Storbritannia, Tunisia
Dabroson Hellas
Epigent Egypt
Garalone Portugal
Garamicina Brasil, Colombia, Ecuador, Mexico
Garamycin Danmark, De forente arabiske emirater, Egypt, Hellas, India, Kroatia, Nederland, Norge, Polen, Sveits
Genmisin Tyrkia
Gensif Tyrkia
Gensumycin Finland, Norge, Sverige
Genta-Gobens Spania
Gentalline Marokko
Gentamen Marokko
Genticin De forente arabiske emirater, Irland, Storbritannia
Gentreks Tyrkia
Hexamycin Danmark
Plurisemina Argentina
Refobacin Colombia, Egypt, Tyskland, Østerrike
Rupegen Argentina
Administrasjonsmåte   Administrasjonsmåte :Gentamicin sulfate     
Voie
Intravenøs
Intravenøs infusjon
Intramuskulær
Subkutan
Intratekal
Intraventrikulær
Subkonjunktival

  Mentions Légales