Poslední aktualizace :
18/03/2026
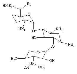
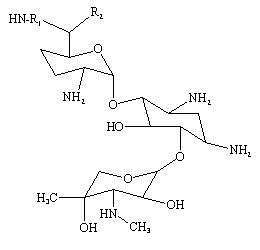
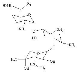
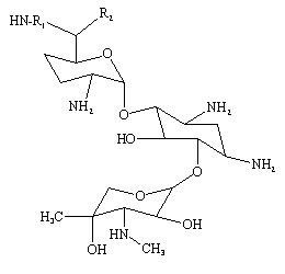
Antibiotikas   Gentamicin sulfate  
Įpurškimas
Akių lašai
Tirpalų stabilumas Mišinių stabilumas Stabilumą lemiantys veiksniai Suderinamumas Leidimo būdai Bibliografija pdf
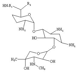
   Cheminė sandara  

Prekinis pavadinimas   Prekinis pavadinimas     

Trade names are indicative and excipients composition can be different depending on the country and manufacturers

Azupel Peru
Cidomycin Didžioji Britanija, Egiptas, Tunisas
Dabroson Graikija
Epigent Egiptas
Garalone Portugalija
Garamicina Brazilija, Ekvadoras, Kolumbija, Meksikas
Garamycin Danija, Egiptas, Graikija, Indija, Jungtiniai Arabų Emyratai, Kroatija, Lenkija, Norvegija, Olandija, Šveicarija
Genmisin Turkija
Gensif Turkija
Gensumycin Norvegija, Suomija, Švedija
Genta-Gobens Ispanija
Gentalline Marokas
Gentamen Marokas
Genticin Airija, Didžioji Britanija, Jungtiniai Arabų Emyratai
Gentreks Turkija
Hexamycin Danija
Plurisemina Argentina
Refobacin Austrija, Egiptas, Kolumbija, Vokietija
Rupegen Argentina
Leidimo būdai   Leidimo būdai :Gentamicin sulfate     
Voie
Intraveninis
Intraveninė infuzija
Intramuskulinis
Švirkščiamas po oda
Švirkščiamas į nugaros smegenų dangalą
Intraventrikulinis
Švirkščiamas po jungine

  Mentions Légales