viimane versioon :
18/03/2026
antibiootikum   Gentamicin sulfate  
Süsteravim
Silmatilgad
Stabiilsus lahustes Stabiilsust mõjutavad tegurid stabiilsust mõjutavad faktorid Sobimatus Manustamis viis Viited pdf
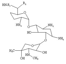
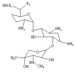
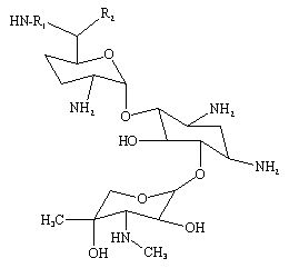
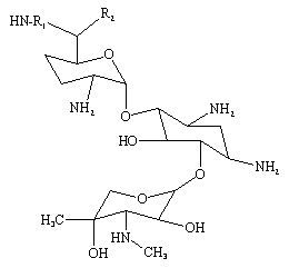
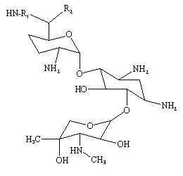
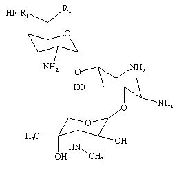
   keemiline struktuur  

Kaubanduslikud nimed erinevates maades   Kaubanduslikud nimed erinevates maades     

Preparaatide nimed on näitlikud ja abianete sisaldus võib erineda sõltuvalt riigist ja laborist

Azupel Maroko
Cidomycin Egiptus, Suurbritannia, Tuneesia
Dabroson Kreeka
Epigent Egiptus
Garalone Portugal
Garamicina Brasiilia, Ecuador, Kolumbia, Mehhiko
Garamycin Araabia Ühendemiraadid, Egiptus, Holland, Horvaatia, India, Kreeka, Norra, Poola, Sveits, Taani
Genmisin Türgi
Gensif Türgi
Gensumycin Norra, Rootsi, Soome
Genta-Gobens Hispaania
Gentalline Maroko
Gentamen Maroko
Genticin Araabia Ühendemiraadid, Iirimaa, Suurbritannia
Gentreks Türgi
Hexamycin Taani
Plurisemina Argentiina
Refobacin Austria, Egiptus, Kolumbia, Saksamaa
Rupegen Argentiina
Manustamis viis   Manustamis viis :Gentamicin sulfate     
Voie
intravenoosne
intravenoosne infusioon
intramuskulaarne
subkutaanne
intratekaalne
intraventrikulaarne
subkonjuktivaalne

  Mentions Légales