Останнє оновлення :
31/03/2026
Противірусні ліки   Foscarnet sodium  
ін'єкція
Стійкість в розчинах Стійкість сумішей Фактори, що впливають на стабільність Сумісність Шлях введення Список літератури pdf
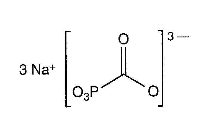
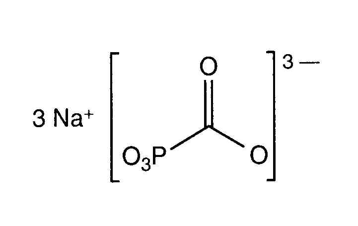
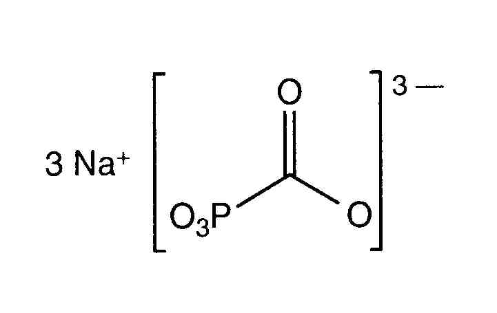
   Хімічна структура  

Торгова назва   Торгова назва     

Торгові назви є орієнтовними, а склад допоміжних речовин може бути різним залежно від країни та виробника

Foscarnet Іспанія, Аргентина, Еквадор, Колумбія, Мексика, Перу, Португалія, Сполучені Штати Америки, Чилі
Foscavir Іспанія, Італія, Австрія, Австралія, Бельгія, Великобританія, Греція, Люксембург, Нідерланди, Німеччина, Нова Зеландія, Сполучені Штати Америки, Угорщина, Франція, Швейцарія, Швеція
Стійкість в розчинах   ін'єкція   Стійкість в розчинах : Foscarnet sodium     
Контейнер Розчинник Концентрація температура Зберігання Тривалість стабільності Список літератури
Полівініл хлорид Натрію хлорид 0,9% 12 mg/ml 25°C Зі світлом чи без
30 День
2
Рівень доказовості C

Полівініл хлорид Натрію хлорид 0,9% 12 mg/ml 25°C Не визначено
35 День
75
Рівень доказовості C

Полівініл хлорид Натрію хлорид 0,9% 12 mg/ml 5°C Берегти від світла
30 День
2
Рівень доказовості C

Полівініл хлорид Натрію хлорид 0,9% 12 mg/ml 5°C Берегти від світла
35 День
75
Рівень доказовості C

Полівініл хлорид Глюкоза 5% 12 mg/ml 25°C Не визначено
35 День
75
Рівень доказовості C

Полівініл хлорид Глюкоза 5% 12 mg/ml 5°C Берегти від світла
35 День
75
Рівень доказовості C

Поліізопреновий еластомер Натрію хлорид 0,9% 2 & 20 mg/ml 25°C Не визначено
4 День
604
Дані виробника про стабільність

Поліізопреновий еластомер Натрію хлорид 0,9% 2 & 20 mg/ml 4°C Берегти від світла
14 День
604
Дані виробника про стабільність

Поліізопреновий еластомер Глюкоза 5% 2 & 20 mg/ml 25°C Не визначено
4 День
604
Дані виробника про стабільність

Поліізопреновий еластомер Глюкоза 5% 2 & 20 mg/ml 4°C Берегти від світла
14 День
604
Дані виробника про стабільність


  Mentions Légales