Última actualización :
31/03/2026
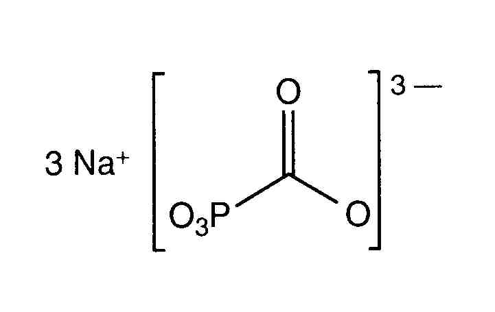
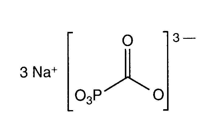
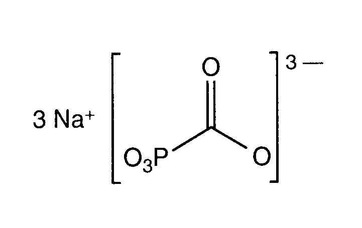
Antiviral   Foscarnet sodium  
Inyectables
Estabilidad en solucion Estabilidad en mezcla Factores que influyen sobre la estabilidad Compatibilidades método de inyección Bibliografía pdf
   Estructura química  

Nombre comercial   Nombre comercial     

Los nombres comerciales son orientativos y los excipientes de la formulación pueden ser distintos dependiendo del país y del laboratorio fabricante.

Foscarnet Argentina, Chile, Colombia, Ecuador, España, Estados Unidos de América, Marruecos, México, Portugal
Foscavir Alemania, Australia, Austria, Bélgica, España, Estados Unidos de América, Francia, Gran Bretaña, Grecia, Hungría, Italia, Luxemburgo, Nueva Zelanda, Países Bajos, Suecia, Suiza
Estabilidad en solucion   Inyectables   Estabilidad en solucion : Foscarnet sodium     
Envase Solvente Concentración Temperatura Conservación Duración de la estabilidad Bibliografía
Cloruro de polivinilo Cloruro de sodio 0,9% 12 mg/ml 25°C Con o sin luz
30 Día
2
Nivel de evidencia C

Cloruro de polivinilo Cloruro de sodio 0,9% 12 mg/ml 25°C No precisada
35 Día
75
Nivel de evidencia C

Cloruro de polivinilo Cloruro de sodio 0,9% 12 mg/ml 5°C A cubierto de la luz
30 Día
2
Nivel de evidencia C

Cloruro de polivinilo Cloruro de sodio 0,9% 12 mg/ml 5°C A cubierto de la luz
35 Día
75
Nivel de evidencia C

Cloruro de polivinilo Glucosa 5% 12 mg/ml 25°C No precisada
35 Día
75
Nivel de evidencia C

Cloruro de polivinilo Glucosa 5% 12 mg/ml 5°C A cubierto de la luz
35 Día
75
Nivel de evidencia C

Elastómero de poliisopreno Cloruro de sodio 0,9% 2 & 20 mg/ml 25°C No precisada
4 Día
604
Datos de estabilidad del fabricante

Elastómero de poliisopreno Cloruro de sodio 0,9% 2 & 20 mg/ml 4°C A cubierto de la luz
14 Día
604
Datos de estabilidad del fabricante

Elastómero de poliisopreno Glucosa 5% 2 & 20 mg/ml 25°C No precisada
4 Día
604
Datos de estabilidad del fabricante

Elastómero de poliisopreno Glucosa 5% 2 & 20 mg/ml 4°C A cubierto de la luz
14 Día
604
Datos de estabilidad del fabricante


  Mentions Légales