Last update :
31/03/2026
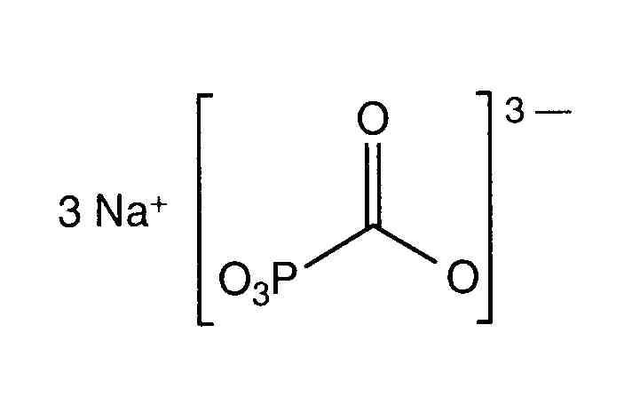
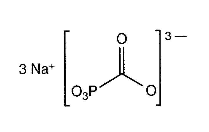
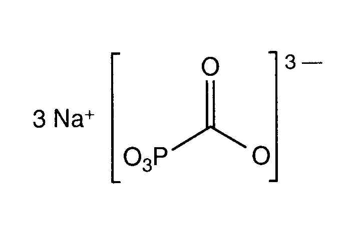
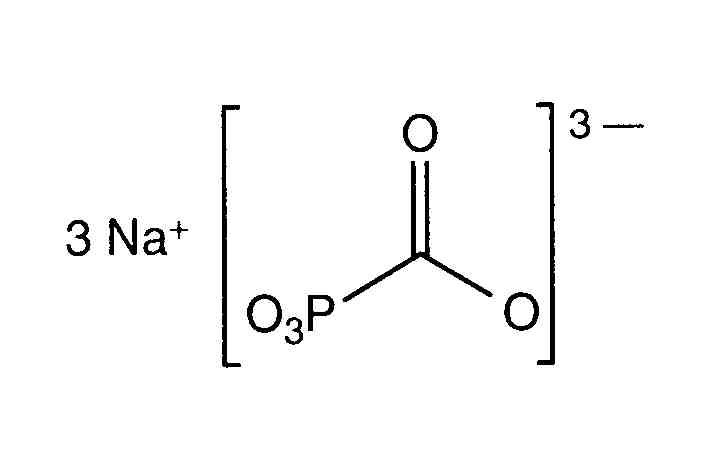
Antiviral   Foscarnet sodium  
injection
Stability in solutions Stability of mixtures Factors which affect stability Compatibility Route of administration References pdf
   Chemical structure  

Tradename   Tradename     

Trade names are indicative and excipients composition can be different depending on the country and manufacturers

Foscarnet Argentina, Chile, Colombia, Ecuador, Mexico, Peru, Portugal, Spain, United States of America
Foscavir Australia, Austria, Belgium, France, Germany, Great Britain, Greece, Hungary, Italy, Luxembourg, Netherlands, New Zealand, Spain, Sweden, Switzerland, United States of America
Stability in solutions   injection   Stability in solutions : Foscarnet sodium     
Container Solvent Concentration Temperature Storage Duration of stability References
Polyvinyl chloride Sodium chloride 0,9% 12 mg/ml 25°C With or without light
30 Day
2
Level of evidence C

Polyvinyl chloride Sodium chloride 0,9% 12 mg/ml 25°C Not specified
35 Day
75
Level of evidence C

Polyvinyl chloride Sodium chloride 0,9% 12 mg/ml 5°C Protect from light
30 Day
2
Level of evidence C

Polyvinyl chloride Sodium chloride 0,9% 12 mg/ml 5°C Protect from light
35 Day
75
Level of evidence C

Polyvinyl chloride Glucose 5% 12 mg/ml 25°C Not specified
35 Day
75
Level of evidence C

Polyvinyl chloride Glucose 5% 12 mg/ml 5°C Protect from light
35 Day
75
Level of evidence C

Polyisoprene elastomer Sodium chloride 0,9% 2 & 20 mg/ml 25°C Not specified
4 Day
604
Manufacturer's stability data

Polyisoprene elastomer Sodium chloride 0,9% 2 & 20 mg/ml 4°C Protect from light
14 Day
604
Manufacturer's stability data

Polyisoprene elastomer Glucose 5% 2 & 20 mg/ml 25°C Not specified
4 Day
604
Manufacturer's stability data

Polyisoprene elastomer Glucose 5% 2 & 20 mg/ml 4°C Protect from light
14 Day
604
Manufacturer's stability data


  Mentions Légales