最新更新 :
31/03/2026
抗病毒药   Foscarnet sodium  
注射液
溶液稳定性 混合物稳定性 影响稳定性的因素 兼容性 用药途径 引用文献 PDF
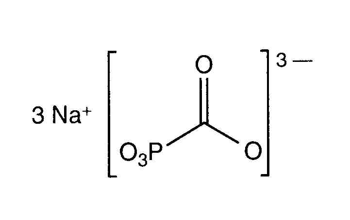
   化学式  

商品名   商品名     

商品名仅供参考, 药品所用的辅料可能依国家或厂商不同有所不同。

Foscarnet 厄瓜多尔, 哥伦比亚, 墨西哥, 智利, 秘鲁, 美国, 葡萄牙, 西班牙, 阿根廷
Foscavir 匈牙利, 卢森堡, 奥地利, 希腊, 德国, 意大利, 新西蘭, 比利时, 法国, 澳大利亚, 瑞典, 瑞士, 美国, 英国, 荷兰, 西班牙
溶液稳定性   注射液   溶液稳定性 : Foscarnet sodium     
容器 溶剂 浓度 温度 保存 穩定持續時間 引用文献
聚氯乙烯 NaCl 0,9% 12 mg/ml 25°C 光/避光
30 白天
2
C级

聚氯乙烯 NaCl 0,9% 12 mg/ml 25°C 无特殊要求
35 白天
75
C级

聚氯乙烯 NaCl 0,9% 12 mg/ml 5°C 避光
30 白天
2
C级

聚氯乙烯 NaCl 0,9% 12 mg/ml 5°C 避光
35 白天
75
C级

聚氯乙烯 葡萄糖5% 12 mg/ml 25°C 无特殊要求
35 白天
75
C级

聚氯乙烯 葡萄糖5% 12 mg/ml 5°C 避光
35 白天
75
C级

聚異戊二烯彈性體 NaCl 0,9% 2 & 20 mg/ml 25°C 无特殊要求
4 白天
604
生产厂家提供的稳定性数据

聚異戊二烯彈性體 NaCl 0,9% 2 & 20 mg/ml 4°C 避光
14 白天
604
生产厂家提供的稳定性数据

聚異戊二烯彈性體 葡萄糖5% 2 & 20 mg/ml 25°C 无特殊要求
4 白天
604
生产厂家提供的稳定性数据

聚異戊二烯彈性體 葡萄糖5% 2 & 20 mg/ml 4°C 避光
14 白天
604
生产厂家提供的稳定性数据


  Mentions Légales