Siste oppdatering :
31/03/2026
Antiviralt middel   Foscarnet sodium  
Injeksjon
Oppløsningsstabilitet Stabilitet i blandinger Faktorer som påvirker stabiliteten Kompatibilitet Administrasjonsmåte Referanser pdf
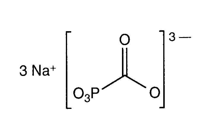
   Kjemisk struktur  

Handelsnavn   Handelsnavn     

Handelsnavn er veiledende og sammensetning av hjelpestoffer kan være forskjellig avhengig av land og produsent

Foscarnet Argentina, Chile, Colombia, Ecuador, Mexico, Peru, Portugal, Spania, USA
Foscavir Australia, Belgia, Frankrike, Hellas, Italia, Luxembourg, Nederland, New Zealand, Spania, Storbritannia, Sveits, Sverige, Tyskland, Ungarn, USA, Østerrike
Oppløsningsstabilitet   Injeksjon   Oppløsningsstabilitet : Foscarnet sodium     
Beholder Oppløsningsmiddel Konsentrasjon Temperatur Oppbevaring Varighet av stabilitet Referanser
Polyvinylklorid Natriumklorid 0,9 % 12 mg/ml 25°C Med eller uten lys
30 Dag
2
Bevisgrad C

Polyvinylklorid Natriumklorid 0,9 % 12 mg/ml 25°C Ikke angitt
35 Dag
75
Bevisgrad C

Polyvinylklorid Natriumklorid 0,9 % 12 mg/ml 5°C Beskyttes mot lys
30 Dag
2
Bevisgrad C

Polyvinylklorid Natriumklorid 0,9 % 12 mg/ml 5°C Beskyttes mot lys
35 Dag
75
Bevisgrad C

Polyvinylklorid Glukose 5 % 12 mg/ml 25°C Ikke angitt
35 Dag
75
Bevisgrad C

Polyvinylklorid Glukose 5 % 12 mg/ml 5°C Beskyttes mot lys
35 Dag
75
Bevisgrad C

Polyisopren elastomer Natriumklorid 0,9 % 2 & 20 mg/ml 25°C Ikke angitt
4 Dag
604
Stabilitetsopplysninger fra produsent

Polyisopren elastomer Natriumklorid 0,9 % 2 & 20 mg/ml 4°C Beskyttes mot lys
14 Dag
604
Stabilitetsopplysninger fra produsent

Polyisopren elastomer Glukose 5 % 2 & 20 mg/ml 25°C Ikke angitt
4 Dag
604
Stabilitetsopplysninger fra produsent

Polyisopren elastomer Glukose 5 % 2 & 20 mg/ml 4°C Beskyttes mot lys
14 Dag
604
Stabilitetsopplysninger fra produsent


  Mentions Légales