Последно актуализиране :
31/03/2026
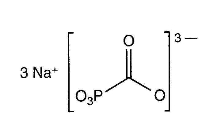
Противовирусно средство   Foscarnet sodium  
Инжекция/Инжекционен
Стабилност на разтвори Стабилност на смеси Фактори, повлияващи стабилността Съвместимост Път на въвеждане Библиография Pdf
   Химична структура  

Търговско наименование   Търговско наименование     

Търговските имена са примерни и съставът на помощните вещества може да бъде различен в зависимост от държавата и лабораториите

Foscarnet Аржентина, Еквадор, Испания, Колумбия, Мексико, Перу, Португалия, Съединени Американски щати / САЩ, Чили
Foscavir Австралия, Австрия, Белгия, Великобритания, Германия, Гърция, Испания, Италия, Люксенбург, нова Зеландия, Съединени Американски щати / САЩ, Унгария, Франция, Холандия, Швейцария, Швеция
Стабилност на разтвори   Инжекция/Инжекционен   Стабилност на разтвори : Foscarnet sodium     
Контейнер Разтворител Концентрация Температура Съхранение Продължителност на стабилността Библиография
Поливинил хлорид Sodium chloride 0,9% 12 mg/ml 25°C С или без светлина
30 Ден
2
Степен на доказаност C

Поливинил хлорид Sodium chloride 0,9% 12 mg/ml 25°C Не е уточнено
35 Ден
75
Степен на доказаност C

Поливинил хлорид Sodium chloride 0,9% 12 mg/ml 5°C Защита от светлина
30 Ден
2
Степен на доказаност C

Поливинил хлорид Sodium chloride 0,9% 12 mg/ml 5°C Защита от светлина
35 Ден
75
Степен на доказаност C

Поливинил хлорид Glucose 5% 12 mg/ml 25°C Не е уточнено
35 Ден
75
Степен на доказаност C

Поливинил хлорид Glucose 5% 12 mg/ml 5°C Защита от светлина
35 Ден
75
Степен на доказаност C

Полиизопренов еластомер Sodium chloride 0,9% 2 & 20 mg/ml 25°C Не е уточнено
4 Ден
604
Данни за стабилност на производителя

Полиизопренов еластомер Sodium chloride 0,9% 2 & 20 mg/ml 4°C Защита от светлина
14 Ден
604
Данни за стабилност на производителя

Полиизопренов еластомер Glucose 5% 2 & 20 mg/ml 25°C Не е уточнено
4 Ден
604
Данни за стабилност на производителя

Полиизопренов еластомер Glucose 5% 2 & 20 mg/ml 4°C Защита от светлина
14 Ден
604
Данни за стабилност на производителя


  Mentions Légales