Posledná aktualizácia :
31/03/2026
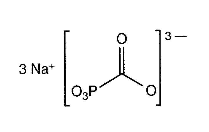
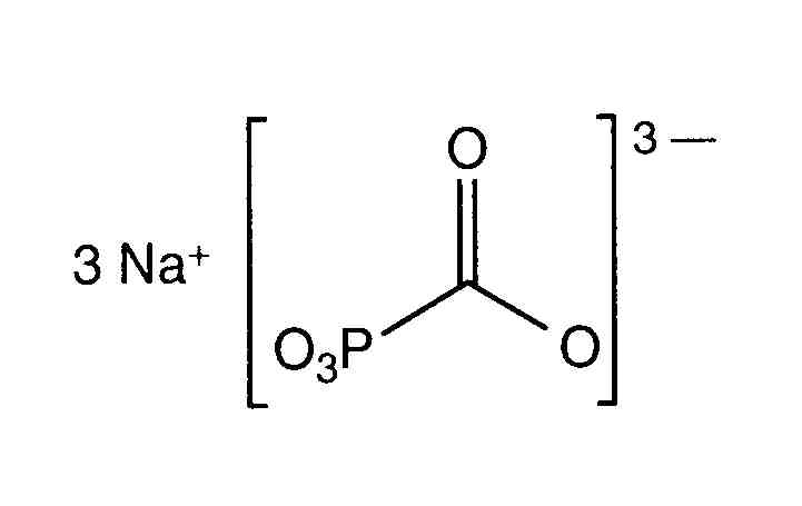
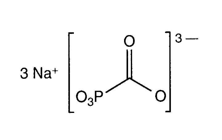
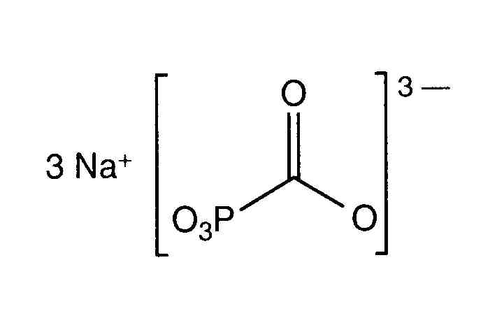
antivirotikum   Foscarnet sodium  
Injekcia
Stabilita roztokov Stabilita v zmesiach Faktory ovplyvňujúce stabilitu Kompatibility spôsob podania Odkazy na literatúru PDF
   Chemický vzorec  

Obchodný názov   Obchodný názov     

Obchodné názvy sú orientačné, a zloženie pomocných látok sa môže líšiť v závislosti od krajiny a výrobcu.

Foscarnet Argentína, Čile, Ekvádor, Kolumbia, Mexiko, peru, Portugalsko, Španielsko, Spojené štáty Americké
Foscavir Austrália, Belgicko, Francúzsko, Grécko, Holandsko, Luxembursko, Maďarsko, Nemecko, nový Zéland, Rakúsko, Španielsko, Spojené štáty Americké, Švajčiarsko, Švédsko, Taliansko, Veľká Británia
Stabilita roztokov   Injekcia   Stabilita roztokov : Foscarnet sodium     
obal rozpúšťadlo koncentrácia teplota uchovávanie Trvanie stability odkazy na lieteratúru
polyvinylchlorid (PVC) 0,9% chlorid sodný 12 mg/ml 25°C Za svetla alebo chránené pred svetlom
30 dní
2
Úroveň dôkazov C

polyvinylchlorid (PVC) 0,9% chlorid sodný 12 mg/ml 25°C nešpecifikované
35 dní
75
Úroveň dôkazov C

polyvinylchlorid (PVC) 0,9% chlorid sodný 12 mg/ml 5°C Chránené pred svetlom
30 dní
2
Úroveň dôkazov C

polyvinylchlorid (PVC) 0,9% chlorid sodný 12 mg/ml 5°C Chránené pred svetlom
35 dní
75
Úroveň dôkazov C

polyvinylchlorid (PVC) 5% glukóza 12 mg/ml 25°C nešpecifikované
35 dní
75
Úroveň dôkazov C

polyvinylchlorid (PVC) 5% glukóza 12 mg/ml 5°C Chránené pred svetlom
35 dní
75
Úroveň dôkazov C

Polyizoprénový elastomer 0,9% chlorid sodný 2 & 20 mg/ml 25°C nešpecifikované
4 dní
604
Údaje o stabilite od výrobcu

Polyizoprénový elastomer 0,9% chlorid sodný 2 & 20 mg/ml 4°C Chránené pred svetlom
14 dní
604
Údaje o stabilite od výrobcu

Polyizoprénový elastomer 5% glukóza 2 & 20 mg/ml 25°C nešpecifikované
4 dní
604
Údaje o stabilite od výrobcu

Polyizoprénový elastomer 5% glukóza 2 & 20 mg/ml 4°C Chránené pred svetlom
14 dní
604
Údaje o stabilite od výrobcu


  Mentions Légales