Laatste update :
31/03/2026
Antiviraal middel   Foscarnet sodium  
injecteerbaar geneesmiddel
Stabiliteit in oplossing Stabiliteit in mengsels Factoren die de stabiliteit beïnvloeden Verenigbaarheden Toedieningswijze Literatuur pdf
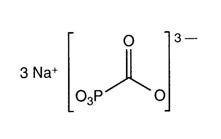
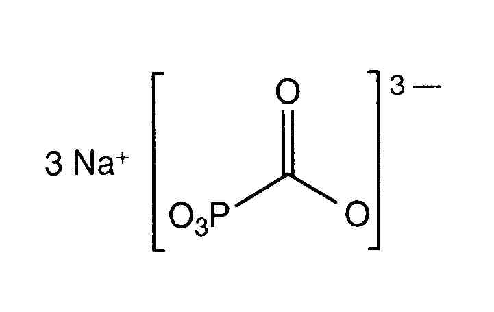
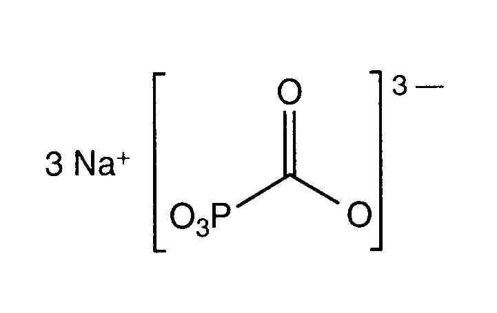
   Molecuulstructuur  

Merknamen in verschillende landen   Merknamen in verschillende landen     

Handelsnamen zijn slechts een indicatie; de samenstelling van hulpstoffen kan per land variëren afhankelijk van de fabrikant

Foscarnet Argentinië, Chili, Colombia, Ecuador, Mexico, Peru, Portugal, Spanje, USA
Foscavir Australië, België, Duitsland, Frankrijk, Griekenland, Groot Britannië, Hongarije, Italië, Luxemburg, Nederland, nieuw Zeeland, Oostenrijk, Spanje, USA, Zweden, Zwitserland
Stabiliteit in oplossing   injecteerbaar geneesmiddel   Stabiliteit in oplossing : Foscarnet sodium     
Verpakking Oplosmiddel Concentratie Temperatuur Bewaring Duur van de stabiliteit Literatuur
Polyvinylchloride (PVC) Natriumchloride 0,9% 12 mg/ml 25°C Met of zonder licht
30 Dag
2
Bewijsniveau C

Polyvinylchloride (PVC) Natriumchloride 0,9% 12 mg/ml 25°C Niet gespecificeerd
35 Dag
75
Bewijsniveau C

Polyvinylchloride (PVC) Natriumchloride 0,9% 12 mg/ml 5°C Buiten invloed van licht
30 Dag
2
Bewijsniveau C

Polyvinylchloride (PVC) Natriumchloride 0,9% 12 mg/ml 5°C Buiten invloed van licht
35 Dag
75
Bewijsniveau C

Polyvinylchloride (PVC) Glucose 5% 12 mg/ml 25°C Niet gespecificeerd
35 Dag
75
Bewijsniveau C

Polyvinylchloride (PVC) Glucose 5% 12 mg/ml 5°C Buiten invloed van licht
35 Dag
75
Bewijsniveau C

Polyisopreen elastomeer Natriumchloride 0,9% 2 & 20 mg/ml 25°C Niet gespecificeerd
4 Dag
604
Stabiliteitsgegevens van de fabrikant

Polyisopreen elastomeer Natriumchloride 0,9% 2 & 20 mg/ml 4°C Buiten invloed van licht
14 Dag
604
Stabiliteitsgegevens van de fabrikant

Polyisopreen elastomeer Glucose 5% 2 & 20 mg/ml 25°C Niet gespecificeerd
4 Dag
604
Stabiliteitsgegevens van de fabrikant

Polyisopreen elastomeer Glucose 5% 2 & 20 mg/ml 4°C Buiten invloed van licht
14 Dag
604
Stabiliteitsgegevens van de fabrikant


  Mentions Légales