Τελευταία ενημέρωση :
31/03/2026
Αντιιικό   Foscarnet sodium  
Ενέσιμο
Σταθερότητα διαλυμάτων Σταθερότητα σε μίγματα Παράγοντας που επηρεάζει τη σταθερότητα Συμβατότητες Τρόπος χορήγησης Βιβλιογραφία pdf
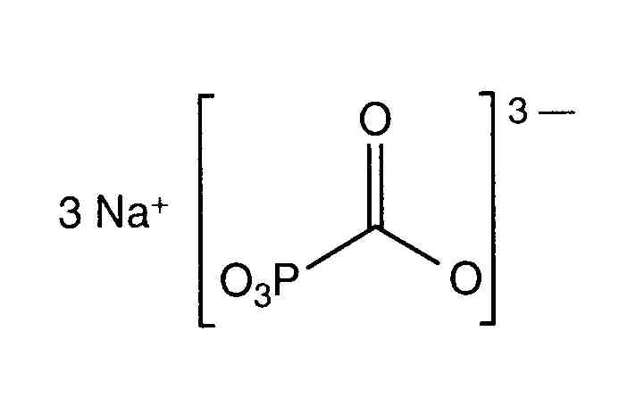
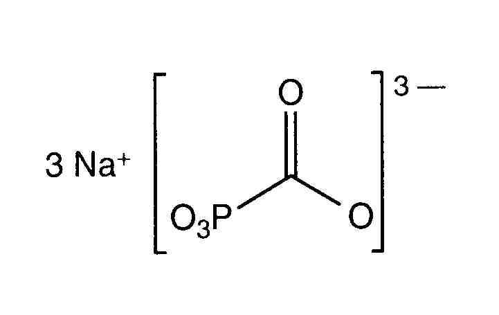
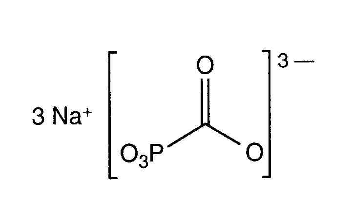
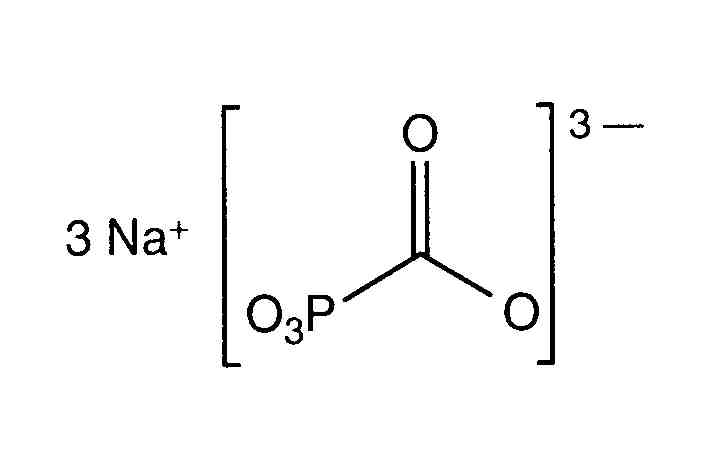
   χημική δομή  

Εμπορική ονομασία   Εμπορική ονομασία     

Οι εμπορικές ονομασίες είναι ενδεικτικές και η σύνθεση των εκδόχων μπορεί να διαφέρει ανάλογα με τη χώρα και τα εργαστήρια

Foscarnet Αργεντινή, Εκουαδόρ, Η.Π.Α., Ισπανία, Κολομβία, Μεξικό, Περού, Πορτογαλία, Χιλή
Foscavir Αυστραλία, Αυστρία, Βέλγιο, Γαλλία, Γερμανία, Ελβετία, Ελλάδα, Η.Π.Α., Ισπανία, Ιταλία, Λουξεμβούργο, Μεγάλη Βρετανία, νέα Ζηλανδία, Ολλανδία, Ουγγαρία, Σουηδία
Σταθερότητα διαλυμάτων   Ενέσιμο   Σταθερότητα διαλυμάτων : Foscarnet sodium     
Υποδοχέας Διαλυτικό Συγκέντρωση Θερμοκρασία Αποθήκευση Διάρκεια σταθερότητας Βιβλιογραφία
Πολυβινυλοχλωρίδιο Χλωριούχο νάτριο 0,9% 12 mg/ml 25°C Με ή χωρίς φως
30 Ημέρα
2
Επίπεδο των αποδεικτικών στοιχείων C

Πολυβινυλοχλωρίδιο Χλωριούχο νάτριο 0,9% 12 mg/ml 25°C Απροσδιόριστο
35 Ημέρα
75
Επίπεδο των αποδεικτικών στοιχείων C

Πολυβινυλοχλωρίδιο Χλωριούχο νάτριο 0,9% 12 mg/ml 5°C Προστατεύετε από το φως
30 Ημέρα
2
Επίπεδο των αποδεικτικών στοιχείων C

Πολυβινυλοχλωρίδιο Χλωριούχο νάτριο 0,9% 12 mg/ml 5°C Προστατεύετε από το φως
35 Ημέρα
75
Επίπεδο των αποδεικτικών στοιχείων C

Πολυβινυλοχλωρίδιο Γλυκόζη 5% 12 mg/ml 25°C Απροσδιόριστο
35 Ημέρα
75
Επίπεδο των αποδεικτικών στοιχείων C

Πολυβινυλοχλωρίδιο Γλυκόζη 5% 12 mg/ml 5°C Προστατεύετε από το φως
35 Ημέρα
75
Επίπεδο των αποδεικτικών στοιχείων C

Ελαστομερές πολυισοπρένιο Χλωριούχο νάτριο 0,9% 2 & 20 mg/ml 25°C Απροσδιόριστο
4 Ημέρα
604
Δεδομένα σταθερότητας του κατασκευαστή/ών

Ελαστομερές πολυισοπρένιο Χλωριούχο νάτριο 0,9% 2 & 20 mg/ml 4°C Προστατεύετε από το φως
14 Ημέρα
604
Δεδομένα σταθερότητας του κατασκευαστή/ών

Ελαστομερές πολυισοπρένιο Γλυκόζη 5% 2 & 20 mg/ml 25°C Απροσδιόριστο
4 Ημέρα
604
Δεδομένα σταθερότητας του κατασκευαστή/ών

Ελαστομερές πολυισοπρένιο Γλυκόζη 5% 2 & 20 mg/ml 4°C Προστατεύετε από το φως
14 Ημέρα
604
Δεδομένα σταθερότητας του κατασκευαστή/ών


  Mentions Légales