Pēdējā atjaunošana :
18/03/2026
Pretvīrusu līdzeklis   Foscarnet sodium  
Injekcija
Šķīduma stabilitāte Maisījuma stabilitāte Stabilitāti ietekmējoši faktori Saderība Levadīšanas veids Literatūras saraksts pdf
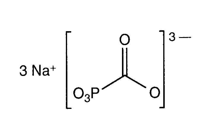
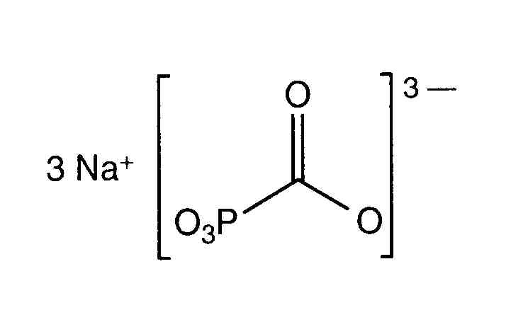
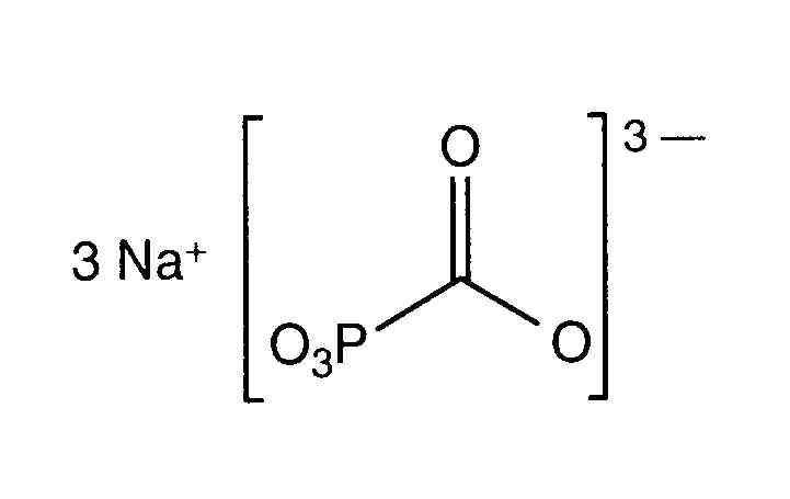
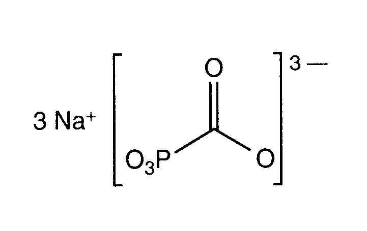
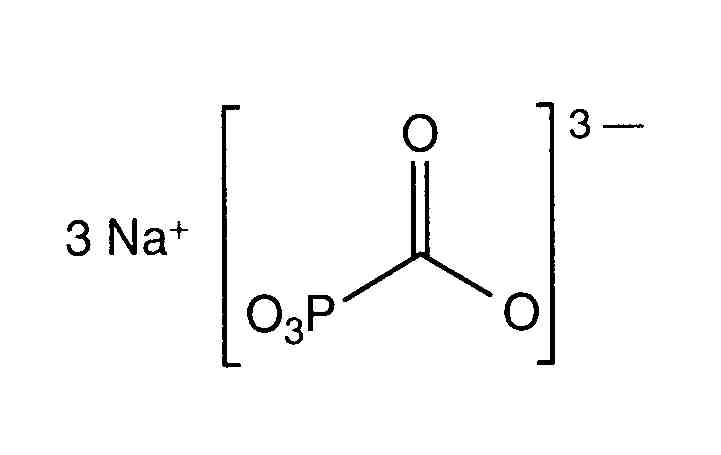
   Ķīmiskā uzbūve   

Oriģinālais nosaukums   Oriģinālais nosaukums     

Tirdzniecības nosaukumi ir apzīmējoši un palīgvielas var atšķirties dažādām valstīm un laboratorijām

Foscarnet Amerikas Savienotās Valstis, Argentīna, Čīle, Ekvadora, Kolumbija, Meksika, Peru, Portugāle, Spānija
Foscavir Amerikas Savienotās Valstis, Austrālija, Austrija, Beļģija, Francija, Grieķija, Holande, Itālija, Jaunzēlande, Lielbritānija, Luksemburga, Spānija, Šveice, Ungārija, Vācija, Zviedrija

Stabilitāti ietekmējoši faktori   Injekcija   Stabilitāti ietekmējoši faktori : Foscarnet sodium        
Literatūras saraksts
Šķīdinātājs 30% glikoze Izraisošs Deģenerācija 3662
Temperatūra 4°C Izraisošs Nogulsnes 3662

  Mentions Légales