Poslední aktualizace :
18/03/2026
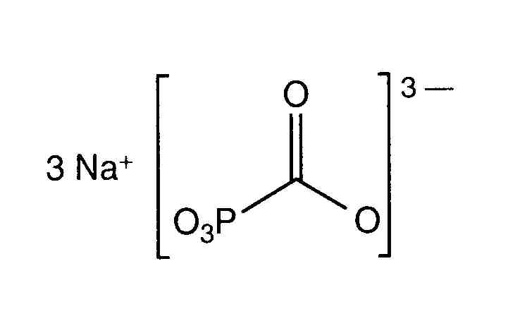
Priešvirusinis vaistas   Foscarnet sodium  
Įpurškimas
Tirpalų stabilumas Mišinių stabilumas Stabilumą lemiantys veiksniai Suderinamumas Leidimo būdai Bibliografija pdf
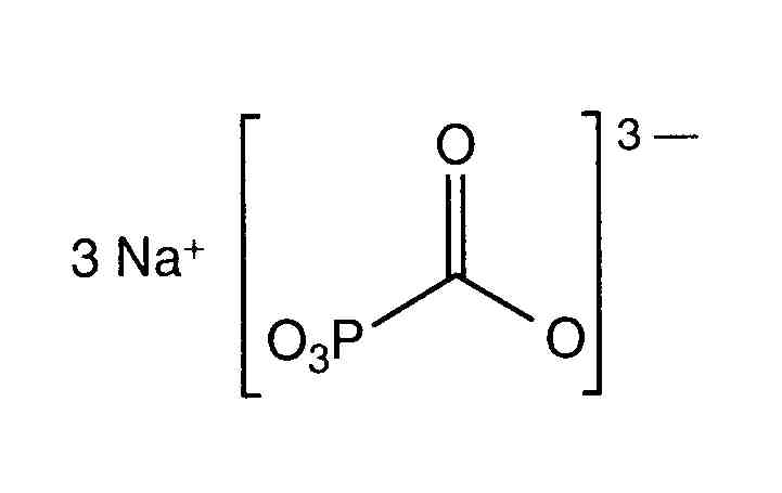
   Cheminė sandara  

Prekinis pavadinimas   Prekinis pavadinimas     

Trade names are indicative and excipients composition can be different depending on the country and manufacturers

Foscarnet Argentina, Čilė, Ekvadoras, Ispanija, Jungtinės Amerikos Valstijos, Kolumbija, Meksikas, Peru, Portugalija
Foscavir Australija, Austrija, Belgija, Didžioji Britanija, Graikija, Ispanija, Italija, Jungtinės Amerikos Valstijos, Liuksemburgas, Naujojoje Zelandijoje, Olandija, Prancūzija, Švedija, Šveicarija, Vengrija, Vokietija

Stabilumą lemiantys veiksniai   Įpurškimas   Stabilumą lemiantys veiksniai : Foscarnet sodium        
Nuorodos
Tirpiklis Gliukozė 30% Skatina Skilimas 3662
Temperatūra 4°C Skatina Nusėdimas 3662

  Mentions Légales