Zadnji put ažurirano :
18/03/2026
protuvirusan   Foscarnet sodium  
injekcija
Stabilizacija rješenja Stabilnost mješavine Stabilizacijski faktor Kompatibilnosti način davanja lijeka Bibliografija pdf
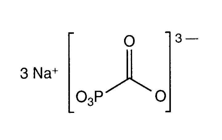
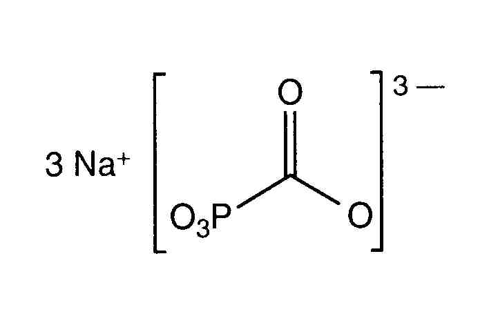
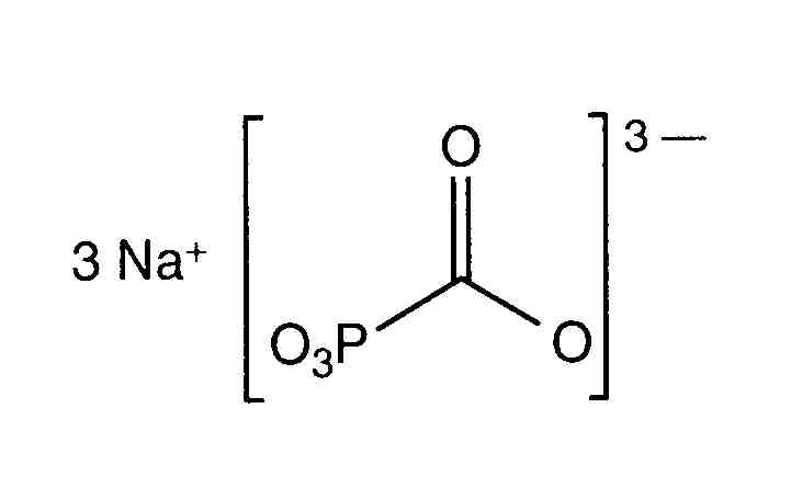
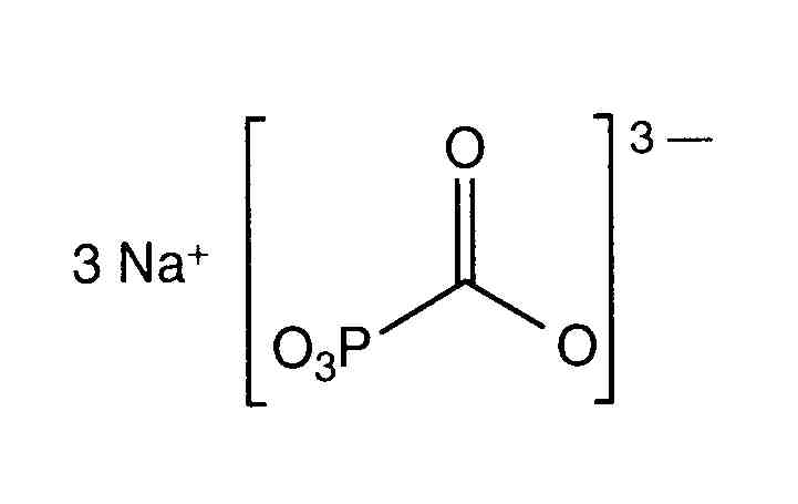
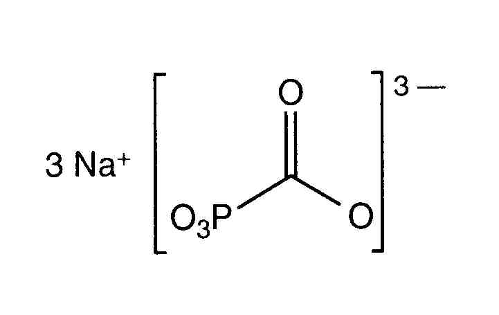
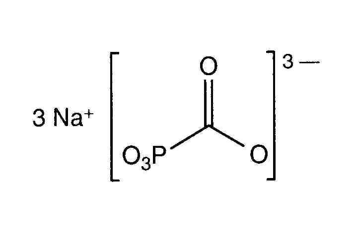
   Kemijska struktura  

Nekomercijalni   Nekomercijalni     

Zaštićeni nazivi su indikativni i sastav ekscipijensa može biti različit ovisno o državi i laboratorijima

Foscarnet Argentina, Čile, Ekvador, Kolumbija, Meksiko, Peru, Portugal, S A D, Španjolska
Foscavir Australija, Austrija, Belgija, Francuska, Grčka, Italija, Luksemburg, Madžarska, Nizozemska, Njemačka, novi Zeland, S A D, Španjolska, Švedska, Švicarska, Velika Britanija

Stabilizacijski faktor   injekcija   Stabilizacijski faktor : Foscarnet sodium        
Bibliografija
sredstvo za rastapanje glukoza 30% izaziva Degradacija 3662
temperatura 4°C izaziva oborina 3662

  Mentions Légales