Posledná aktualizácia :
18/03/2026
antivirotikum   Foscarnet sodium  
Injekcia
Stabilita roztokov Stabilita v zmesiach Faktory ovplyvňujúce stabilitu Kompatibility spôsob podania Odkazy na literatúru PDF
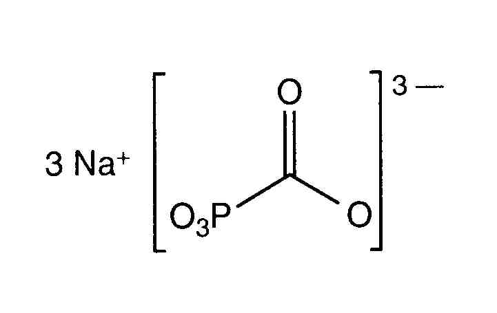
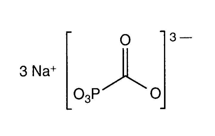
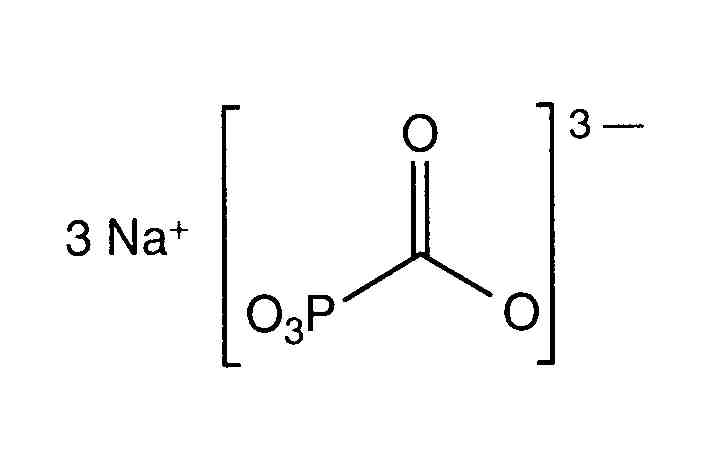
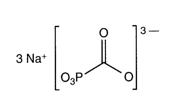
   Chemický vzorec  

Obchodný názov   Obchodný názov     

Obchodné názvy sú orientačné, a zloženie pomocných látok sa môže líšiť v závislosti od krajiny a výrobcu.

Foscarnet Argentína, Čile, Ekvádor, Kolumbia, Mexiko, peru, Portugalsko, Španielsko, Spojené štáty Americké
Foscavir Austrália, Belgicko, Francúzsko, Grécko, Holandsko, Luxembursko, Maďarsko, Nemecko, nový Zéland, Rakúsko, Španielsko, Spojené štáty Americké, Švajčiarsko, Švédsko, Taliansko, Veľká Británia

Faktory ovplyvňujúce stabilitu   Injekcia   Faktory ovplyvňujúce stabilitu : Foscarnet sodium        
odkazy na lieteratúru
rozpúšťadlo 30% glukóza indukuje degradácia 3662
teplota 4°C indukuje zrážanie 3662

  Mentions Légales