Senaste uppdateringen :
18/03/2026
Antiviralt medel   Foscarnet sodium  
injektion
Lösningars stabilitet Stabilitet i blandningar Faktorer som påverkar stabiliteten Kompatibilitet Administreringssätt Hänvisningar pdf
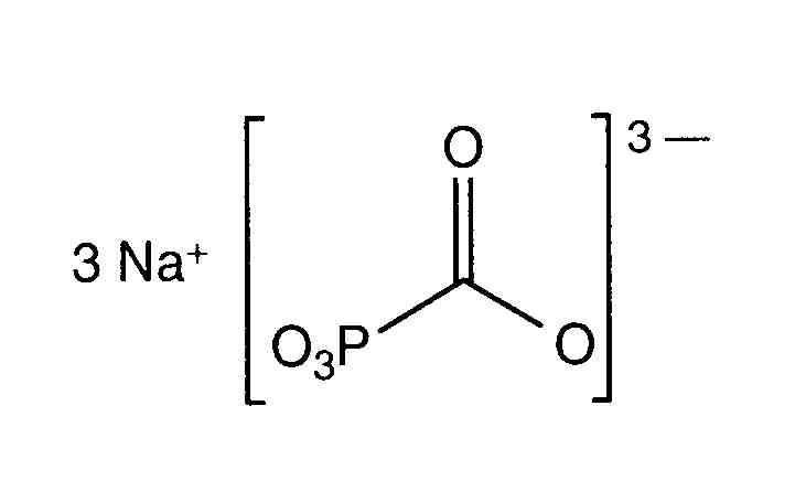
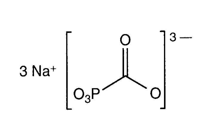
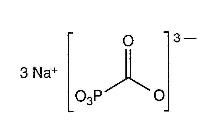
   Molekylstruktur  

Varunamn   Varunamn     

Angivna handelsnamn på läkemedel är enbart vägledande då formulering inklusive hjälpämnen kan variera mellan länder och tillverkare

Foscarnet Argentina, Chile, Colombia, Ecuador, Förenta Staterna, Mexiko, Peru, Portugal, Spanien
Foscavir Australien, Belgien, Förenta Staterna, Frankrike, Grekland, Italien, Luxemburg, Nederländerna, nya Zeeland, Österrike, Schweiz, Spanien, Storbritannien, Sverige, Tyskland, Ungern

Faktorer som påverkar stabiliteten   injektion   Faktorer som påverkar stabiliteten : Foscarnet sodium        
Hänvisningar
Lösningsmedel Glukos 30 % Orsakar Nedbrytning 3662
Temperatur 4°C Orsakar Utfällning 3662

  Mentions Légales