viimane versioon :
18/03/2026
Viirusevastane ravim   Foscarnet sodium  
Süsteravim
Stabiilsus lahustes Stabiilsust mõjutavad tegurid stabiilsust mõjutavad faktorid Sobimatus Manustamis viis Viited pdf
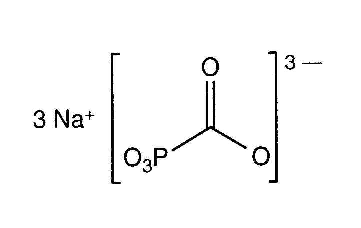
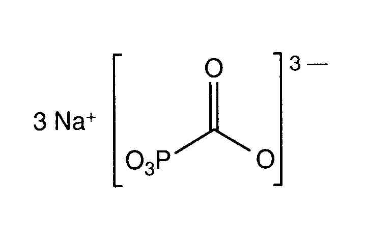
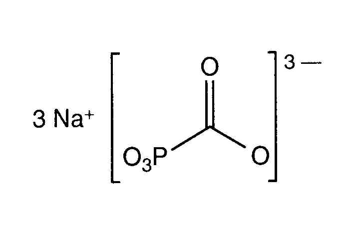
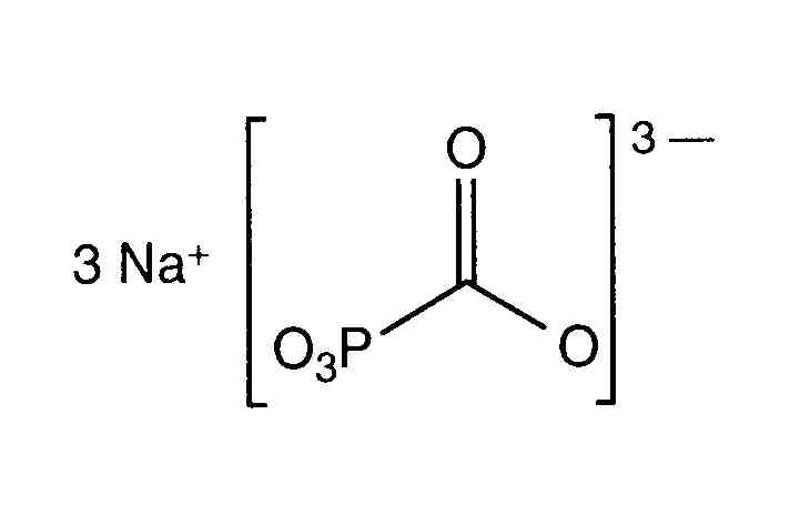
   keemiline struktuur  

Kaubanduslikud nimed erinevates maades   Kaubanduslikud nimed erinevates maades     

Preparaatide nimed on näitlikud ja abianete sisaldus võib erineda sõltuvalt riigist ja laborist

Foscarnet Ameerika ühendriigid, Argentiina, Ecuador, Hispaania, Kolumbia, Maroko, Mehhiko, Portugal, Tšiili
Foscavir Ameerika ühendriigid, Austraalia, Austria, Belgia, Hispaania, Holland, Itaalia, Kreeka, Luksemburg, Prantsusmaa, Rootsi, Saksamaa, Suurbritannia, Sveits, Ungari, uus-Meremaa

stabiilsust mõjutavad faktorid   Süsteravim   stabiilsust mõjutavad faktorid : Foscarnet sodium        
Viited
lahusti glükoos 30% indutseerib degradatsioon 3662
temperatuur 4°C indutseerib sadenemine 3662

  Mentions Légales