最新更新 :
18/03/2026
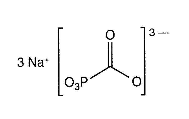
抗ウイルス薬   Foscarnet sodium  
注射薬
溶媒内の安定性 混合時の安定性 安定性に影響する因子 互換性 投与経路 引用文献 PDF
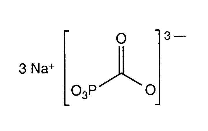
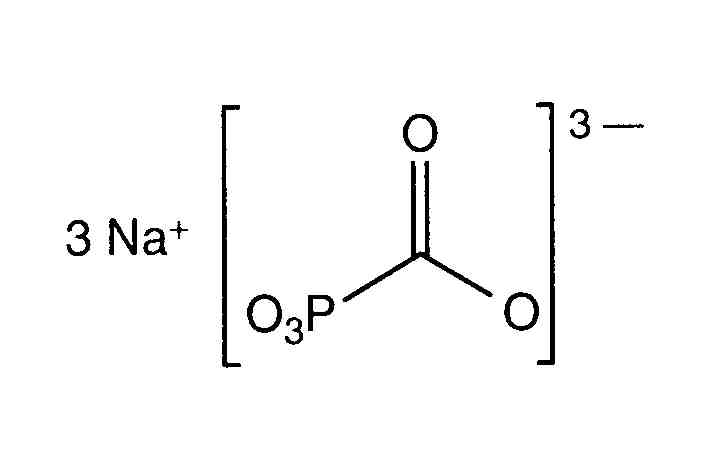
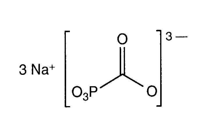
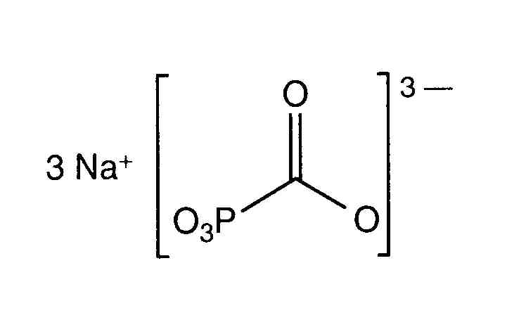
   化学構造  

商品名   商品名     

商品名、賦形剤は国、製薬会社ごとに異なることがあります

Foscarnet アメリカ, アルゼンチン, エクアドル, コロンビア, スペイン, チリ, ペルー, ポルトガル, メキシコ
Foscavir アメリカ, アーストラリア, イギリス, イタリア, オランダ, オーストリア, ギリシア, スイス, スウェーデン, スペイン, ドイツ, ニュージーランド, ハンガリー, フランス, ベルギー, ルクセンブルグ

安定性に影響する因子   注射薬   安定性に影響する因子 : Foscarnet sodium        
引用文献
溶媒 グルコース30% 誘導 分解 3662
温度 4°C 誘導 沈殿 3662

  Mentions Légales