Laatste update :
18/03/2026
Antiviraal middel   Foscarnet sodium  
injecteerbaar geneesmiddel
Stabiliteit in oplossing Stabiliteit in mengsels Factoren die de stabiliteit beïnvloeden Verenigbaarheden Toedieningswijze Literatuur pdf
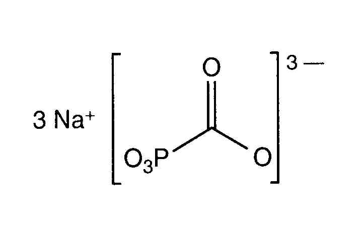
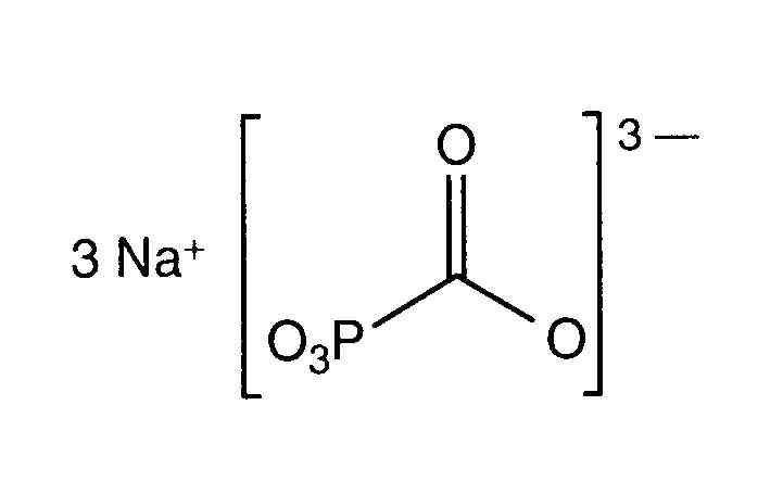
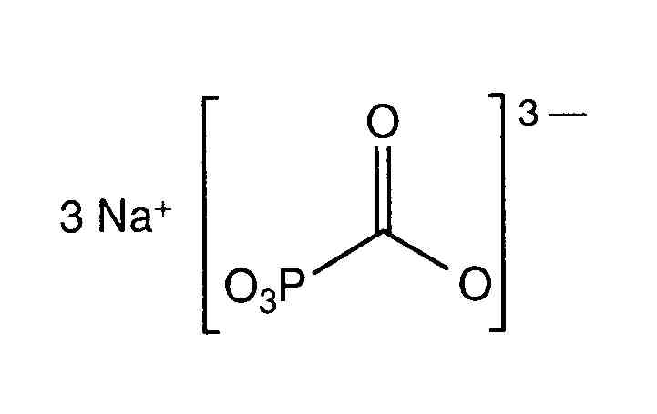
   Molecuulstructuur  

Merknamen in verschillende landen   Merknamen in verschillende landen     

Handelsnamen zijn slechts een indicatie; de samenstelling van hulpstoffen kan per land variëren afhankelijk van de fabrikant

Foscarnet Argentinië, Chili, Colombia, Ecuador, Mexico, Peru, Portugal, Spanje, USA
Foscavir Australië, België, Duitsland, Frankrijk, Griekenland, Groot Britannië, Hongarije, Italië, Luxemburg, Nederland, nieuw Zeeland, Oostenrijk, Spanje, USA, Zweden, Zwitserland

Factoren die de stabiliteit beïnvloeden   injecteerbaar geneesmiddel   Factoren die de stabiliteit beïnvloeden : Foscarnet sodium        
Literatuur
Oplosmiddel Glucose 30% Veroorzaakt Ontleding 3662
Temperatuur 4°C Veroorzaakt Neerslag 3662

  Mentions Légales