Son güncelleme :
18/03/2026
Immünosupresan   Ciclosporin  
Enjeksiyon
Göz damlası Merhem Oral solüsyon / oral çözelti
Çözeltilerin stabilitesi Karışımlardaki stabilitesi Stabiliteyi etkileyen faktörler Uyumluluk Uygulama yöntemi Kaynaklar pdf
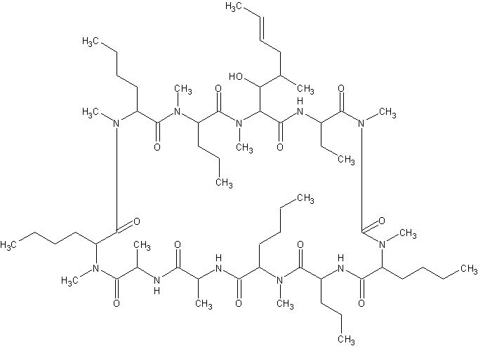
   Kimyasal yapı   

Ticari isim   Ticari isim     

Trade names are indicative and excipients composition can be different depending on the country and manufacturers

Cyclosporine Amerika Birleşik Devletleri, Kanada
Graftin Hindistan
Sandimmum Almanya, Arjantin, Avustralya, Avusturya, Belçika, Birleşik Arap Emirlikleri, Büyük Britanya, Danimarka, Fas, Finlandiya, İran, İrlanda, İspanya, İsveç, İsviçre, İtalya, İzlanda, Kolombiya, Lüksemburg, Macaristan, Malezya, Meksika, Norveç, Peru, Polonya, Portekiz, Şili, Suudi Arabistan, Tunus, Türkiye, yeni Zelanda, Yunanistan

Stabiliteyi etkileyen faktörler    Enjeksiyon    Stabiliteyi etkileyen faktörler : Ciclosporin        

  Mentions Légales