Ostatnia aktualizacja :
18/03/2026
Lek immunosupresyjny   Ciclosporin  
Injekcje
Krople oczne Maści Roztwór doustny
Trwałość roztworów Trwałość w mieszaninie Czynnik wpływający na trwałość Zgodność Sposób podania Bibliografia pdf
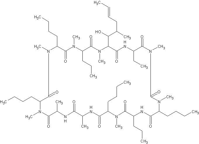
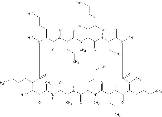
   Struktura chemiczna  

Nazwa handlowa   Nazwa handlowa     

Trade names are indicative and excipients composition can be different depending on the country and manufacturers

Cyclosporine Kanada, Stany Zjednoczone Ameryki
Graftin Indie
Sandimmum Arabia Saudyjska, Argentyna, Australia, Austria, Belgia, Chile, Dania, Finlandia, Grecja, Hiszpania, Iran, Irlandia, Islandia, KolumbiaKolumbia, Luksemburg, Malezja, Maroko, Meksyk, Niemcy, Norwegia, nowa Zelandia, Peru, Polska, Portugalia, Szwajcaria, Szwecja, Tunisie, Turcja, Węgry, Wielka Brytania, Włochy, Zjednoczone Emiraty Arabskie

Czynnik wpływający na trwałość   Injekcje   Czynnik wpływający na trwałość : Ciclosporin        

  Mentions Légales