Poslední aktualizace :
18/03/2026
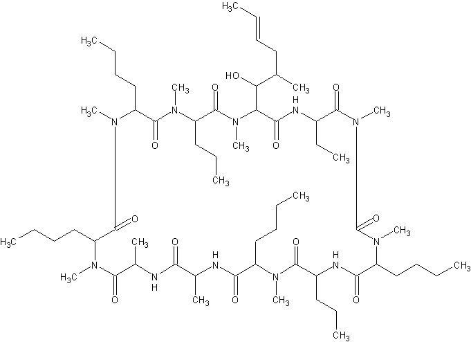
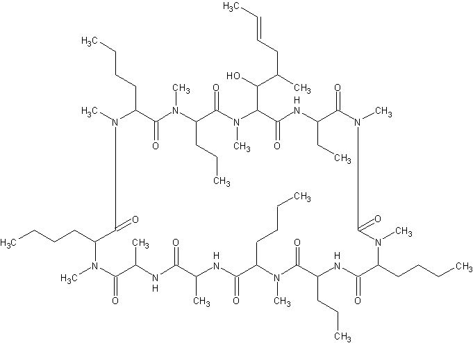
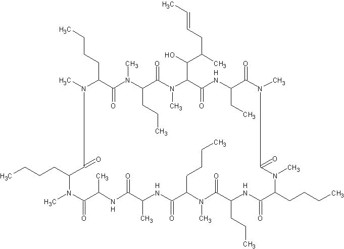
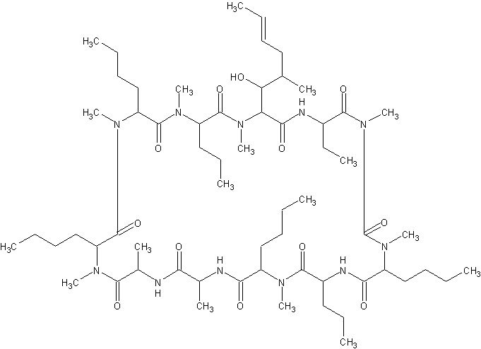
Imunosupresantas   Ciclosporin  
Įpurškimas
Akių lašai Geriamas tirpalas Tepalai
Tirpalų stabilumas Mišinių stabilumas Stabilumą lemiantys veiksniai Suderinamumas Leidimo būdai Bibliografija pdf
   Cheminė sandara  

Prekinis pavadinimas   Prekinis pavadinimas     

Trade names are indicative and excipients composition can be different depending on the country and manufacturers

Cyclosporine Jungtinės Amerikos Valstijos, Kanada
Graftin Indija
Sandimmum Airija, Argentina, Australija, Austrija, Belgija, Čilė, Danija, Didžioji Britanija, Graikija, Iranas, Islandija, Ispanija, Italija, Jungtiniai Arabų Emyratai, Kolumbija, Lenkija, Liuksemburgas, Malaizija, Marokas, Meksikas, Naujojoje Zelandijoje, Norvegija, Peru, Portugalija, Saudo Arabija, Suomija, Švedija, Šveicarija, Tunisas, Turkija, Vengrija, Vokietija

Stabilumą lemiantys veiksniai   Įpurškimas   Stabilumą lemiantys veiksniai : Ciclosporin        

  Mentions Légales