Senaste uppdateringen :
18/03/2026
Immunsuppressivum   Ciclosporin  
injektion
ögondroppar Oral lösning Salvor
Lösningars stabilitet Stabilitet i blandningar Faktorer som påverkar stabiliteten Kompatibilitet Administreringssätt Hänvisningar pdf
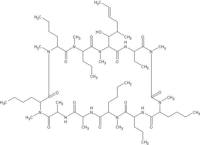
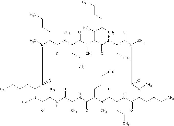
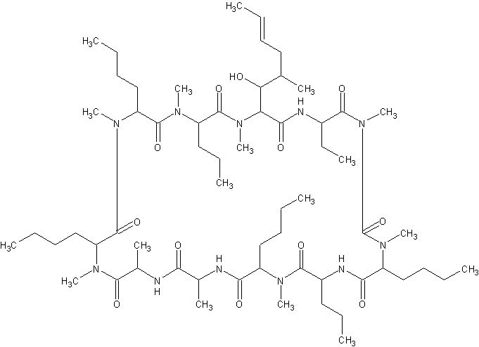
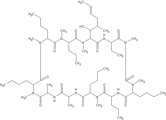
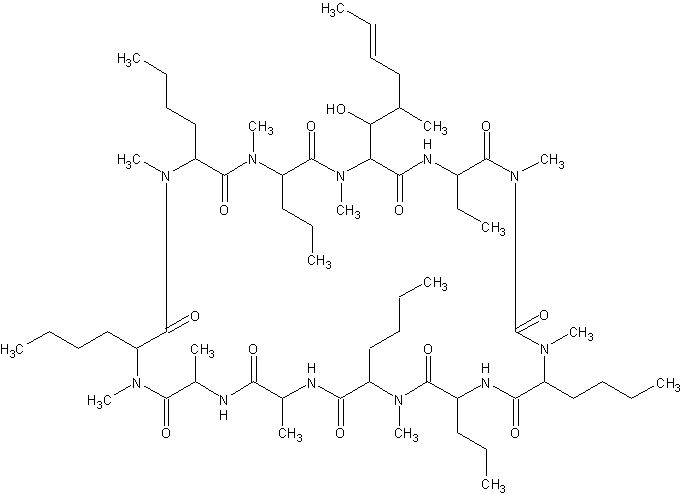
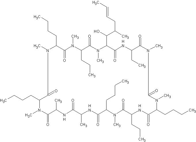
   Molekylstruktur  

Varunamn   Varunamn     

Angivna handelsnamn på läkemedel är enbart vägledande då formulering inklusive hjälpämnen kan variera mellan länder och tillverkare

Cyclosporine Förenta Staterna, Kanada
Graftin Indien
Sandimmum Argentina, Australien, Belgien, Chile, Colombia, Danmark, Finland, Förenade Arabemiraten, Grekland, Iran, Irland, Island, Italien, Luxemburg, Malaysia, Marocko, Mexiko, Norge, nya Zeeland, Österrike, Peru, Polen, Portugal, Saudi-Arabien, Schweiz, Spanien, Storbritannien, Sverige, Tunisien, Turkiet, Tyskland, Ungern

Faktorer som påverkar stabiliteten   injektion   Faktorer som påverkar stabiliteten : Ciclosporin        

  Mentions Légales