Last update :
18/03/2026
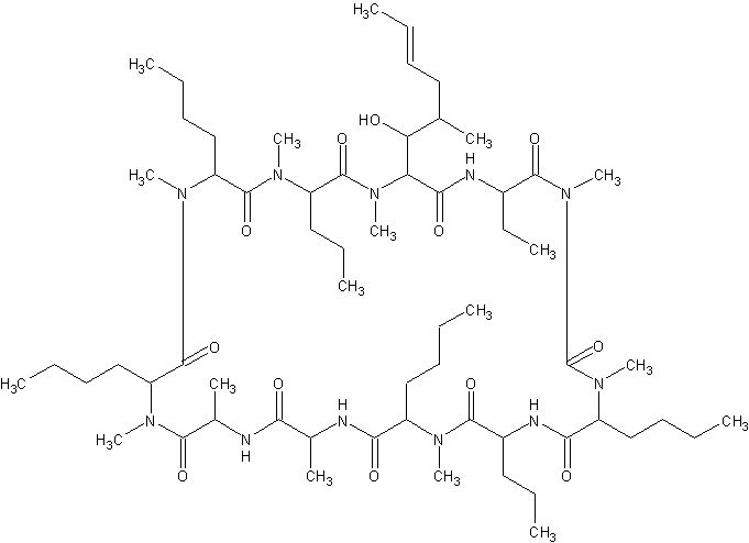
Immunosuppressant   Ciclosporin  
injection
Eye-drops Ointments Oral solution
Stability in solutions Stability of mixtures Factors which affect stability Compatibility Route of administration References pdf
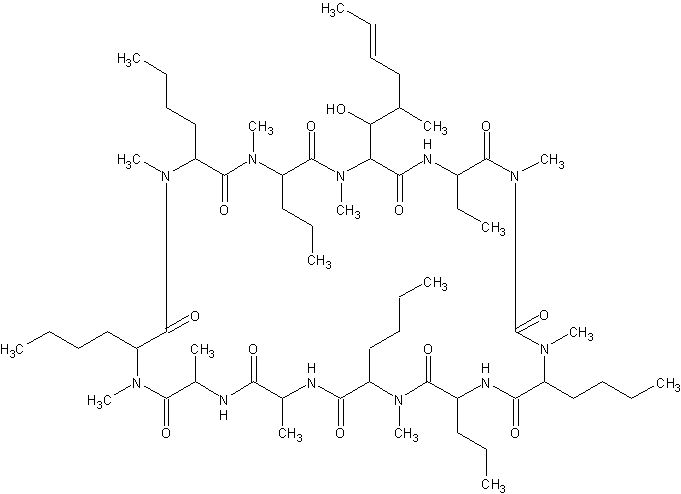
   Chemical structure  

Tradename   Tradename     

Trade names are indicative and excipients composition can be different depending on the country and manufacturers

Cyclosporine Canada, United States of America
Graftin India
Sandimmum Argentina, Australia, Austria, Belgium, Chile, Colombia, Denmark, Finland, Germany, Great Britain, Greece, Hungary, Iceland, Iran, Ireland, Italy, Luxembourg, Malaysia, Mexico, Morocco, New Zealand, Norway, Peru, Poland, Portugal, Saudi Arabia, Spain, Sweden, Switzerland, Tunisia, Turkey, United Arab Emirates

Factors which affect stability   injection   Factors which affect stability : Ciclosporin        

  Mentions Légales