Dernière mise à jour :
18/03/2026
Immunosuppresseur   Ciclosporin  
injectable
Collyre Forme dermique Solution buvable
Stabilité des solutions Stabilité en mélange Facteur influençant la stabilité Compatibilités Voie d’administration Bibliographie pdf
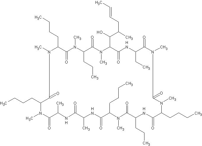
   Structure chimique  

Noms commerciaux   Noms commerciaux     

Les noms commerciaux sont donnés à titre indicatif et la composition en excipients peut être différente selon les pays et selon les laboratoires

Cyclosporine Canada, Etats Unis d’Amérique
Graftin Inde
Sandimmum Allemagne, Arabie Saoudite, Argentine, Australie, Autriche, Belgique, Chili, Colombie, Danemark, Emirats Arabes Unis , Espagne, Finlande, Grande Bretagne, Grèce, Hongrie, Iran, Irlande, Islande, Italie, Luxembourg, Malaisie, Maroc, Mexique, Norvège, Nouvelle Zélande, Pérou, Pologne, Portugal, Suède, Suisse, Tunisie, Turquie

Facteur influençant la stabilité   injectable   Facteur influençant la stabilité : Ciclosporin        

  Mentions Légales