Última actualización :
18/03/2026
Inmunosupresor   Ciclosporin  
Inyectables
Gotas oculares Preparaciones tópicas Solución Oral
Estabilidad en solucion Estabilidad en mezcla Factores que influyen sobre la estabilidad Compatibilidades método de inyección Bibliografía pdf
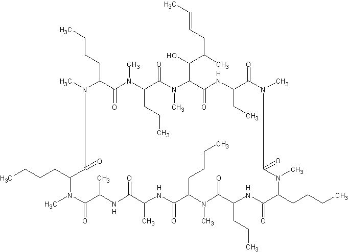
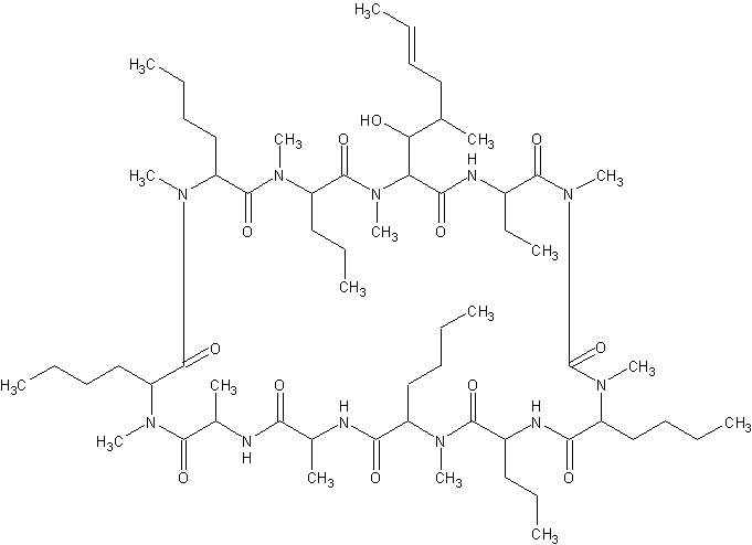
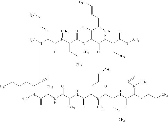
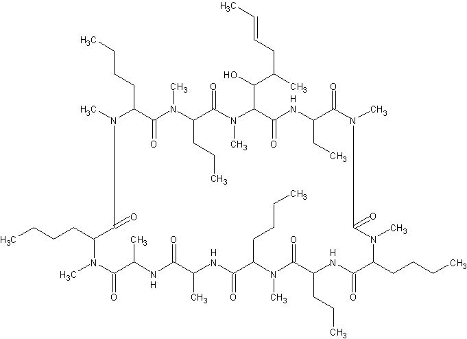
   Estructura química  

Nombre comercial   Nombre comercial     

Los nombres comerciales son orientativos y los excipientes de la formulación pueden ser distintos dependiendo del país y del laboratorio fabricante.

Cyclosporine Canadá, Estados Unidos de América
Graftin India
Sandimmum Alemania, Arabia Saudita, Argentina, Australia, Austria, Bélgica, Chile, Colombia, Dinamarca, Emiratos Árabes Unidos, España, Finlandia, Gran Bretaña, Grecia, Hungría, Irán, Irlanda, Islandia, Italia, Luxemburgo, Malasia, Marruecos, Marruecos, México, Noruega, Nueva Zelanda, Polonia, Portugal, Suecia, Suiza, Túnez, Turquía

Factores que influyen sobre la estabilidad   Inyectables   Factores que influyen sobre la estabilidad : Ciclosporin        

  Mentions Légales