Ultimo aggiornamento :
18/03/2026
Immunosoppressore   Ciclosporin  
Iniezione
Collirio Soluzione orale Unguenti
Stabilità in soluzione Stabilità in miscela Fattori che influenzano la stabilità Compatibilità metodo di iniezione Bibliografia pdf
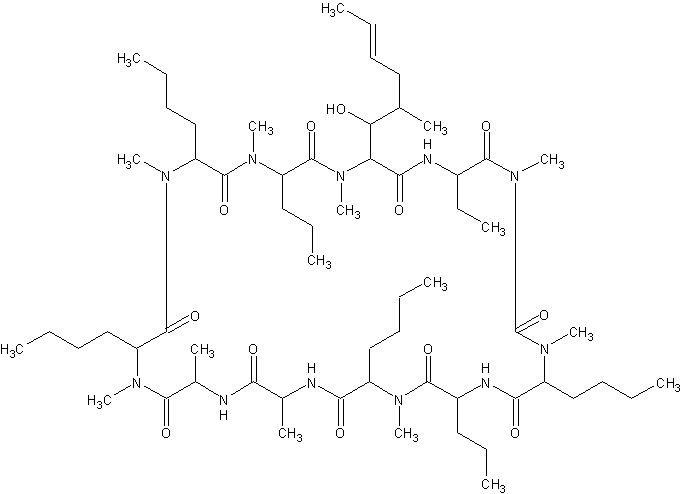
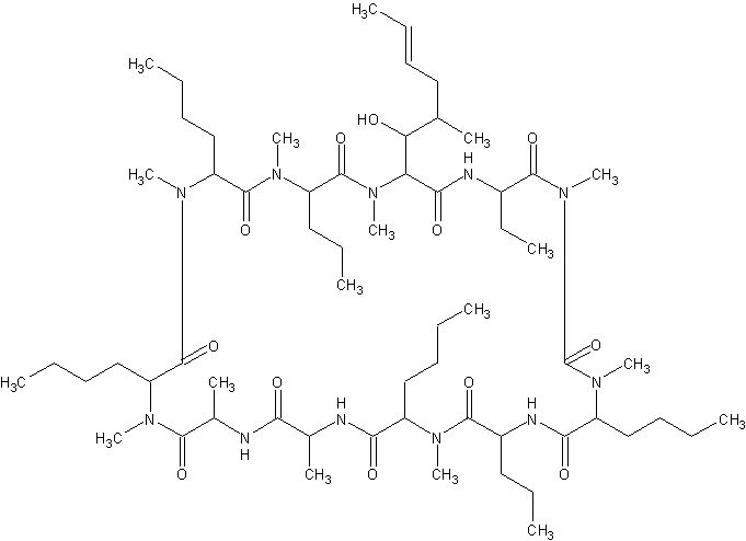
   Struttura chimica  

Nome commerciale   Nome commerciale     

Trade names are indicative and excipients composition can be different depending on the country and manufacturers

Cyclosporine Canada, Stati Uniti d’America
Graftin India
Sandimmum Arabia Saudita, Argentina, Australia, Austria, Belgio, Chile, Colombia, Danimarca, Emirati Arabi Uniti, Finlandia, Germania, Gran Bretagna, Grecia, Iran, Irlanda, Islanda, Italia, Lussemburgo, Malaysia, Marocco, Messico, Norvegia, nuova Zelanda, Perù, Polonia, Portogallo, Spagna, Svezia, Svizzera, Tunisia, Turchia, Ungheria

Fattori che influenzano la stabilità   Iniezione   Fattori che influenzano la stabilità : Ciclosporin        

  Mentions Légales