Seneste opdatering :
18/03/2026
Immunsuppressivum   Ciclosporin  
Injektion
Oral opløsning Salver Øjendråber
Stabilitet i (vandige) opløsninger Stabilitet i blandinger Faktorer der påvirker stabiliteten Kompatibilitet Administrationsvej Bibliografi pdf
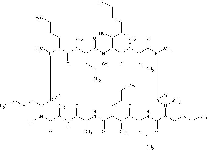
   Kemisk struktur  

Handelsnavn   Handelsnavn     

Handel navne er vejledende og hjælpestoffer sammensætning kan være forskellig afhængigt af landet og laboratorier

Cyclosporine Canada, USA
Graftin Indien
Sandimmum Argentina, Australien, Belgien, Chile, Colombia, Danmark, Finland, Forenede Arabiske Emirater, Grækenland, Iran, Irland, Island, Italien, Luxemborg, Malaysia, Marokko, Marokko, Mexico, New Zealand, Norge, Polen, Portugal, Saudi-Arabien, Schweiz, Spanien, Storbritanien, Sverige, Tunesien, Tyrkiet, Tyskland, Ungarn, Østrig

Faktorer der påvirker stabiliteten   Injektion   Faktorer der påvirker stabiliteten : Ciclosporin        

  Mentions Légales