Zadnji put ažurirano :
18/03/2026
imunosupresori   Ciclosporin  
injekcija
kapi za oko masti oralna otopina
Stabilizacija rješenja Stabilnost mješavine Stabilizacijski faktor Kompatibilnosti način davanja lijeka Bibliografija pdf
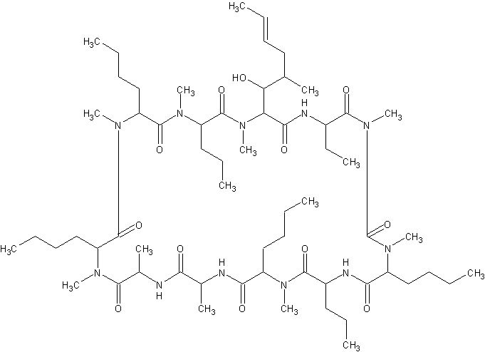
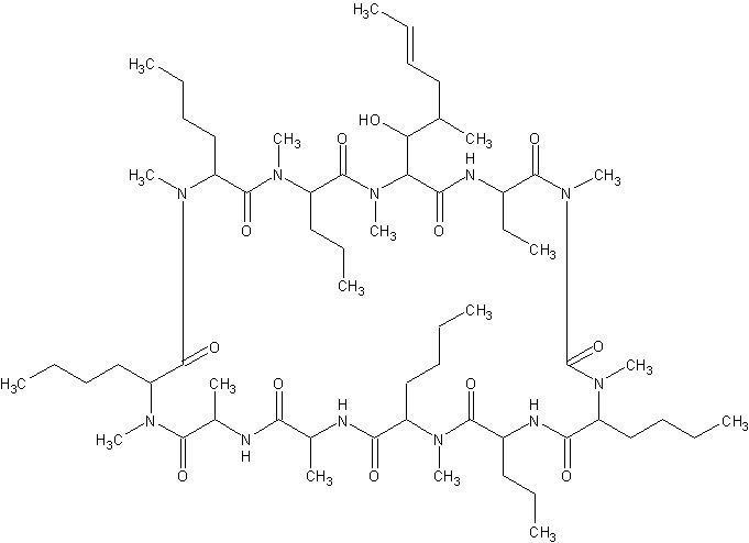
   Kemijska struktura  

Nekomercijalni   Nekomercijalni     

Zaštićeni nazivi su indikativni i sastav ekscipijensa može biti različit ovisno o državi i laboratorijima

Cyclosporine Kanada, S A D
Graftin Indija
Sandimmum Argentina, Australija, Austrija, Belgija, Čile, Danska, Finska, Grčka, Iran, Irska, Island, Italija, Kolumbija, Luksemburg, Madžarska, Malezija, Maroko, Meksiko, Njemačka, Norveška, novi Zeland, Peru, Poljska, Portugal, Saudijska Arabija, Španjolska, Švedska, Švicarska, Tunis, Turska, Ujedinjeni Arapski Emirati, Velika Britanija

Stabilizacijski faktor   injekcija   Stabilizacijski faktor : Ciclosporin        

  Mentions Légales