Cập nhật lần cuối :
18/03/2026
Thuốc giãn mạch   Isosorbide dinitrate  
Dạng tiêm
Tính ổn định của các dung dịch Độ ổn định khi trộn lẫn Những yếu tố ảnh hưởng đến độ ổn định Khả năng tương thích Đường dùng Tài liệu tham khảo Pdf
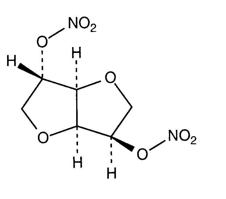
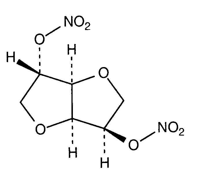
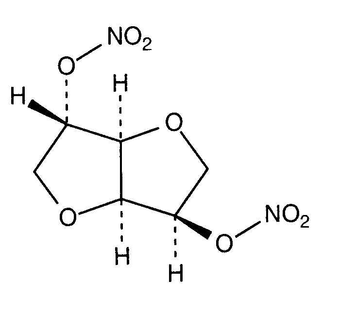
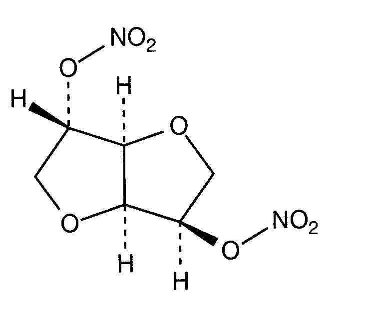
   Cấu trúc hóa học  

Tên thương mại   Tên thương mại     

Các tên thương mại được cung cấp và thành phần tá dược có thể khác nhau giữa các quốc gia và các hãng dược

Angsobide Malaysia
Cedocard Hà Lan
Diniket Ý
Dinit Anh
Ekilbran Mexico
Isoket Ả Rập, Ả Rập Saudi, Anh, Áo, Ba Lan, Bồ Đào Nha, Ireland, Luxembourg, Malaysia, Mexico, Peru, Thụy Sỹ, United Arab Emirates, Venezuela
Isonit Ecuador, Peru
Nitrosid Phần Lan
Nitrosorbide Ý
Risordan Pháp
Zanisor Mexico
Tính ổn định của các dung dịch   Dạng tiêm   Tính ổn định của các dung dịch : Isosorbide dinitrate     
Bao bì Dung môi Nồng độ Nhiệt độ Bảo quản Thời gian ổn định Mục lục
Thủy tinh NaCl 0,9% 0,095 mg/ml 21°C Tránh ánh sáng
24 Giờ
350

Nhựa polyethylen NaCl 0,9% 0,02 mg/ml 22°C Tránh ánh sáng
24 Giờ
1067
Cấp độ bằng chứng C

Nhựa polyethylen NaCl 0,9% 0,02 mg/ml 4°C Tránh ánh sáng
24 Giờ
1067
Cấp độ bằng chứng C

Nhựa polyethylen NaCl 0,9% 0,095 mg/ml 21°C Tránh ánh sáng
24 Giờ
350

Nhựa polyethylen Glucose 5% 0,02 mg/ml 22°C Tránh ánh sáng
24 Giờ
1067
Cấp độ bằng chứng C

Nhựa polyethylen Glucose 5% 0,02 mg/ml 4°C Tránh ánh sáng
24 Giờ
1067
Cấp độ bằng chứng C

ống tiêm polypropylene NaCl 0,9% 0,6 mg/ml 2-8°C Tránh ánh sáng
28 Ngày
4374
Cấp độ bằng chứng C+


  Mentions Légales