viimane versioon :
27/11/2025
vasodilataator   Isosorbide dinitrate  
Süsteravim
Stabiilsus lahustes Stabiilsust mõjutavad tegurid stabiilsust mõjutavad faktorid Sobimatus Manustamis viis Viited pdf
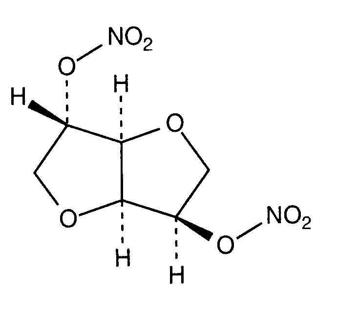
   keemiline struktuur  

Kaubanduslikud nimed erinevates maades   Kaubanduslikud nimed erinevates maades     

Preparaatide nimed on näitlikud ja abianete sisaldus võib erineda sõltuvalt riigist ja laborist

Angsobide Malaisia
Cedocard Holland
Diniket Itaalia
Dinit Suurbritannia
Ekilbran Mehhiko
Isoket Araabia Ühendemiraadid, Austria, Egiptus, Iirimaa, Luksemburg, Malaisia, Maroko, Mehhiko, Poola, Portugal, Saudi Araabia, Suurbritannia, Sveits, Venetsueela
Isonit Ecuador, Maroko
Nitrosid Soome
Nitrosorbide Itaalia
Risordan Prantsusmaa
Zanisor Mehhiko
Stabiilsus lahustes   Süsteravim   Stabiilsus lahustes : Isosorbide dinitrate     
konteiner lahusti kontsentratsioon temperatuur ladustamine Stabiilsuse kestus Viited
klaas naatriumkloriid 0.9% 0,095 mg/ml 21°C kaitsta valguse eest
24 Tund
350

polüetüleen naatriumkloriid 0.9% 0,02 mg/ml 22°C kaitsta valguse eest
24 Tund
1067
Tõenduspõhisuse tase C

polüetüleen naatriumkloriid 0.9% 0,02 mg/ml 4°C kaitsta valguse eest
24 Tund
1067
Tõenduspõhisuse tase C

polüetüleen naatriumkloriid 0.9% 0,095 mg/ml 21°C kaitsta valguse eest
24 Tund
350

polüetüleen glükoos 5% 0,02 mg/ml 22°C kaitsta valguse eest
24 Tund
1067
Tõenduspõhisuse tase C

polüetüleen glükoos 5% 0,02 mg/ml 4°C kaitsta valguse eest
24 Tund
1067
Tõenduspõhisuse tase C

süstal  polüpropüleenist naatriumkloriid 0.9% 0,6 mg/ml 2-8°C kaitsta valguse eest
28 päev
4374
Tõenduspõhisuse tase C+


  Mentions Légales