Останнє оновлення :
17/12/2025
Судинорозширювальний засіб   Isosorbide dinitrate  
ін'єкція
Стійкість в розчинах Стійкість сумішей Фактори, що впливають на стабільність Сумісність Шлях введення Список літератури pdf
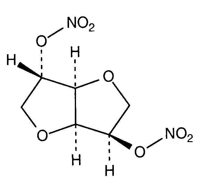
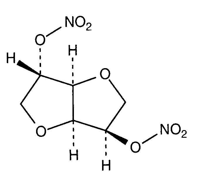
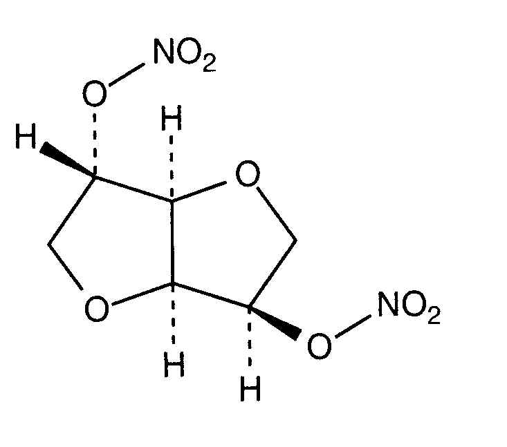
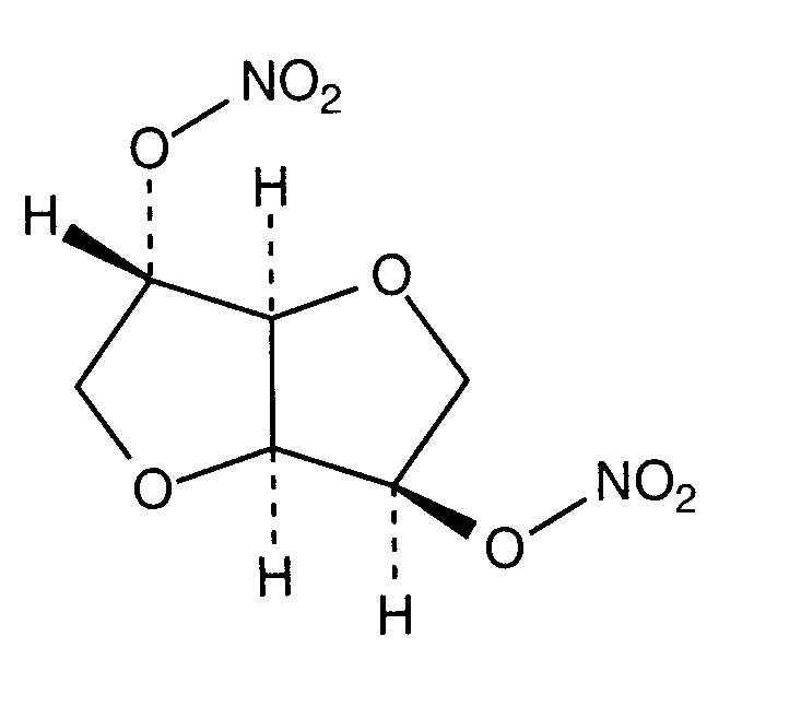
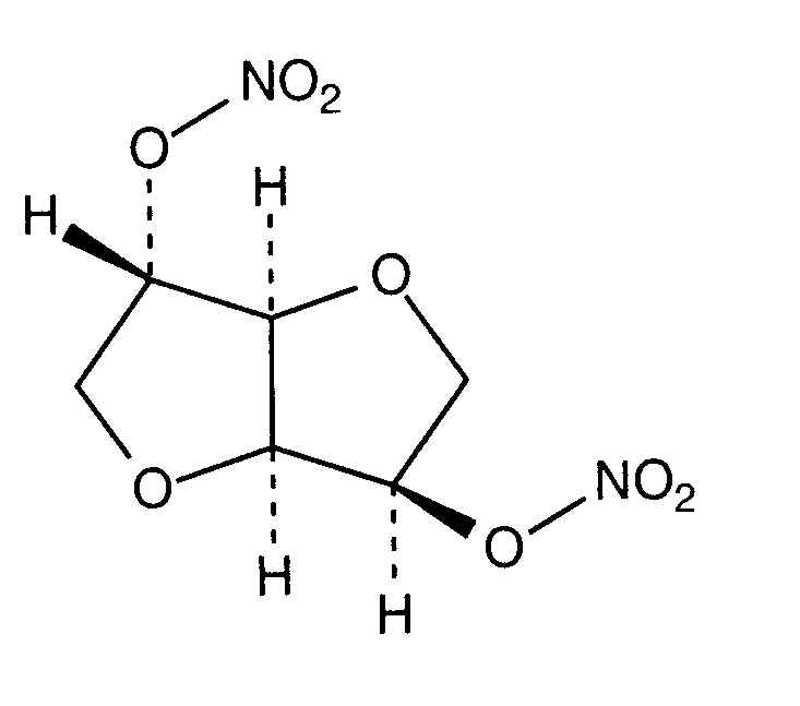
   Хімічна структура  

Торгова назва   Торгова назва     

Торгові назви є орієнтовними, а склад допоміжних речовин може бути різним залежно від країни та виробника

Angsobide Малайзія
Cedocard Нідерланди
Diniket Італія
Dinit Великобританія
Ekilbran Мексика
Isoket Єгипет, Ірландія, Австрія, Великобританія, Венесуела, Люксембург, Малайзія, Мексика, Об'єднані Арабські Емірати, Перу, Польща, Португалія, Саудівська Аравія, Швейцарія
Isonit Еквадор, Перу
Nitrosid Фінляндія
Nitrosorbide Італія
Risordan Франція
Zanisor Мексика
Стійкість в розчинах   ін'єкція   Стійкість в розчинах : Isosorbide dinitrate     
Контейнер Розчинник Концентрація температура Зберігання Тривалість стабільності Список літератури
скло Натрію хлорид 0,9% 0,095 mg/ml 21°C Берегти від світла
24 годину
350

Поліетилен Натрію хлорид 0,9% 0,02 mg/ml 22°C Берегти від світла
24 годину
1067
Рівень доказовості C

Поліетилен Натрію хлорид 0,9% 0,02 mg/ml 4°C Берегти від світла
24 годину
1067
Рівень доказовості C

Поліетилен Натрію хлорид 0,9% 0,095 mg/ml 21°C Берегти від світла
24 годину
350

Поліетилен Глюкоза 5% 0,02 mg/ml 22°C Берегти від світла
24 годину
1067
Рівень доказовості C

Поліетилен Глюкоза 5% 0,02 mg/ml 4°C Берегти від світла
24 годину
1067
Рівень доказовості C

Поліпропіленовий шприц Натрію хлорид 0,9% 0,6 mg/ml 2-8°C Берегти від світла
28 День
4374
Рівень доказовості C+


  Mentions Légales