آخر تحديث :
18/03/2026
موسع الشرايين   Isosorbide dinitrate  
حقن
الاستقرار في حلول استقرار مخاليط العوامل التي تؤثر على الاستقرار التوافق طريقة التعاطي مراجع pdf
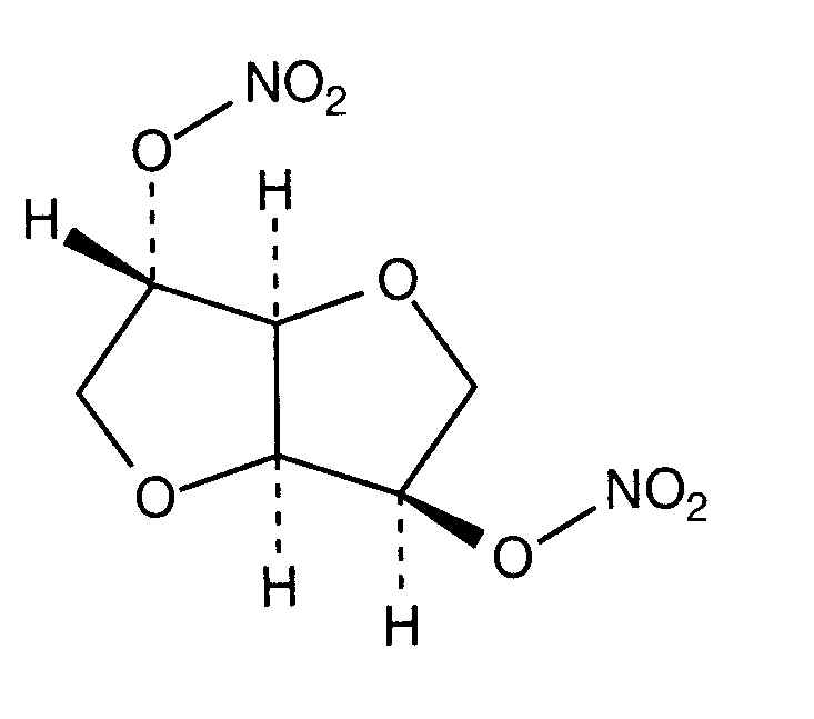
   التركيب الكيميائي  

حجز الاسم التجاري   حجز الاسم التجاري     

تحذير الأسماء التجاريه المختلفه قد تحتوي علي محتوي إضافات مختلفة حسب الدوله و المعمل

Angsobide ماليزيا
Cedocard هولندا
Diniket إيطاليا
Dinit بريطانيا العظمي
Ekilbran المكسيك
Isoket الإمارات العربية المتحدة, البرتغال, العربية السعودية, المكسيك, النمسا, ايرلندا, بريطانيا العظمي, بولندا, بيرو, سويسرا, فنزويلا, لوكسمبورغ, ماليزيا, مصر
Isonit الإكوادور, بيرو
Nitrosid فنلندا
Nitrosorbide إيطاليا
Risordan فرنسا
Zanisor المكسيك
الاستقرار في حلول   حقن   الاستقرار في حلول : Isosorbide dinitrate     
حاوية مذيب تركيز درجة الحرارة تخزين مدة الاستقرار مراجع
زجاج كلوريد الصوديوم 0.9% 0,095 mg/ml 21°C بعيدا عن الضوء
24 ساعة
350

البولي ايثيلين كلوريد الصوديوم 0.9% 0,02 mg/ml 22°C بعيدا عن الضوء
24 ساعة
1067
C مستوى الأدلة

البولي ايثيلين كلوريد الصوديوم 0.9% 0,02 mg/ml 4°C بعيدا عن الضوء
24 ساعة
1067
C مستوى الأدلة

البولي ايثيلين كلوريد الصوديوم 0.9% 0,095 mg/ml 21°C بعيدا عن الضوء
24 ساعة
350

البولي ايثيلين الجلوكوز %5 0,02 mg/ml 22°C بعيدا عن الضوء
24 ساعة
1067
C مستوى الأدلة

البولي ايثيلين الجلوكوز %5 0,02 mg/ml 4°C بعيدا عن الضوء
24 ساعة
1067
C مستوى الأدلة

محقنة البولي بروبلين كلوريد الصوديوم 0.9% 0,6 mg/ml 2-8°C بعيدا عن الضوء
28 يوم
4374
C+ مستوى الأدلة


  Mentions Légales