Poslední aktualizace :
18/03/2026
Vasodilatans   Isosorbide dinitrate  
injekce
Stabilita roztoků Stabilita směsí Faktory ovlivňující stabilitu Kompatibilita Způsoby aplikace Odkazy pdf
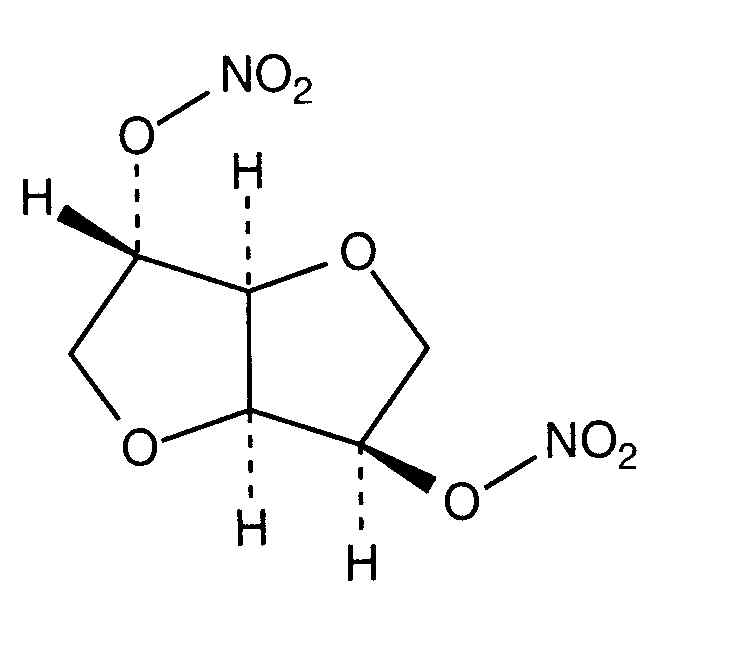
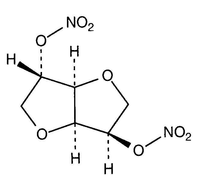
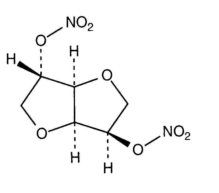
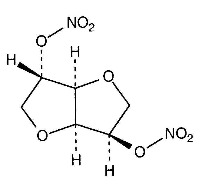
   Chemický vzorec  

Obchodní název   Obchodní název     

Trade names are indicative and excipients composition can be different depending on the country and manufacturers

Angsobide Malajsie
Cedocard Nizozemsko
Diniket Itálie
Dinit Velká Británie
Ekilbran Mexiko
Isoket Egypt, Irsko, Lucembursko, Malajsie, Mexiko, Peru, Polsko, Portugalsko, Rakousko, Saúdská Arábie, Spojené arabské emiráty, Švýcarsko, Velká Británie, Venezuela
Isonit Ekvádor, Peru
Nitrosid Finsko
Nitrosorbide Itálie
Risordan Francie
Zanisor Mexiko
Stabilita roztoků   injekce   Stabilita roztoků : Isosorbide dinitrate     
Obal RozpouötÏdlo Koncentrace Teplota Uchovávání Trvání stability Odkazy
Sklo Chlorid sodný 0,9% 0,095 mg/ml 21°C Chráněno před světlem
24 Hodina
350

Polyethylen Chlorid sodný 0,9% 0,02 mg/ml 22°C Chráněno před světlem
24 Hodina
1067
Úroveň zkoušky C

Polyethylen Chlorid sodný 0,9% 0,02 mg/ml 4°C Chráněno před světlem
24 Hodina
1067
Úroveň zkoušky C

Polyethylen Chlorid sodný 0,9% 0,095 mg/ml 21°C Chráněno před světlem
24 Hodina
350

Polyethylen GlukÛza 5% 0,02 mg/ml 22°C Chráněno před světlem
24 Hodina
1067
Úroveň zkoušky C

Polyethylen GlukÛza 5% 0,02 mg/ml 4°C Chráněno před světlem
24 Hodina
1067
Úroveň zkoušky C

stříkačka polypropylen Chlorid sodný 0,9% 0,6 mg/ml 2-8°C Chráněno před světlem
28 Den
4374
Úroveň zkoušky C+


  Mentions Légales