Senaste uppdateringen :
27/11/2025
Vasodilaterare   Isosorbide dinitrate  
injektion
Lösningars stabilitet Stabilitet i blandningar Faktorer som påverkar stabiliteten Kompatibilitet Administreringssätt Hänvisningar pdf
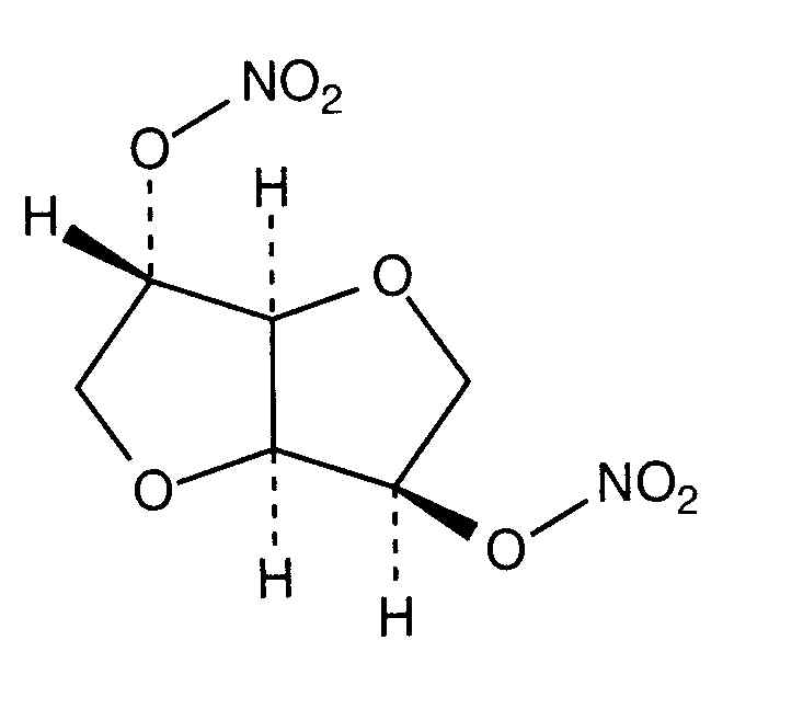
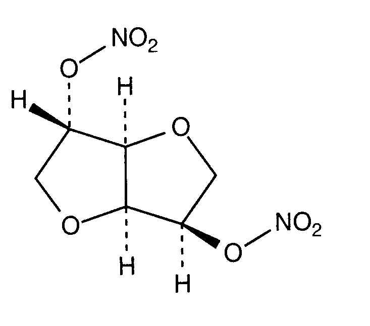
   Molekylstruktur  

Varunamn   Varunamn     

Angivna handelsnamn på läkemedel är enbart vägledande då formulering inklusive hjälpämnen kan variera mellan länder och tillverkare

Angsobide Malaysia
Cedocard Nederländerna
Diniket Italien
Dinit Storbritannien
Ekilbran Mexiko
Isoket Egypten, Förenade Arabemiraten, Irland, Luxemburg, Malaysia, Mexiko, Österrike, Peru, Polen, Portugal, Saudi-Arabien, Schweiz, Storbritannien, Venezuela
Isonit Ecuador, Peru
Nitrosid Finland
Nitrosorbide Italien
Risordan Frankrike
Zanisor Mexiko
Lösningars stabilitet   injektion   Lösningars stabilitet : Isosorbide dinitrate     
Behållare Lösningsmedel Koncentration Temperatur Förvaring Stabilitets varaktighet Hänvisningar
Glas Natriumklorid 0,9 % 0,095 mg/ml 21°C Skyddas från ljus
24 Timma
350

Polyetylen Natriumklorid 0,9 % 0,02 mg/ml 22°C Skyddas från ljus
24 Timma
1067
Evidensnivå C

Polyetylen Natriumklorid 0,9 % 0,02 mg/ml 4°C Skyddas från ljus
24 Timma
1067
Evidensnivå C

Polyetylen Natriumklorid 0,9 % 0,095 mg/ml 21°C Skyddas från ljus
24 Timma
350

Polyetylen Glukos 5 % 0,02 mg/ml 22°C Skyddas från ljus
24 Timma
1067
Evidensnivå C

Polyetylen Glukos 5 % 0,02 mg/ml 4°C Skyddas från ljus
24 Timma
1067
Evidensnivå C

Spruta polypropen Natriumklorid 0,9 % 0,6 mg/ml 2-8°C Skyddas från ljus
28 Dag
4374
Evidensnivå C+


  Mentions Légales