Última actualización :
18/03/2026
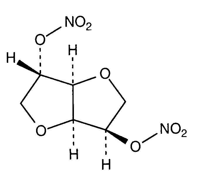
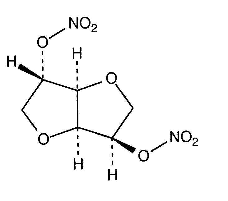
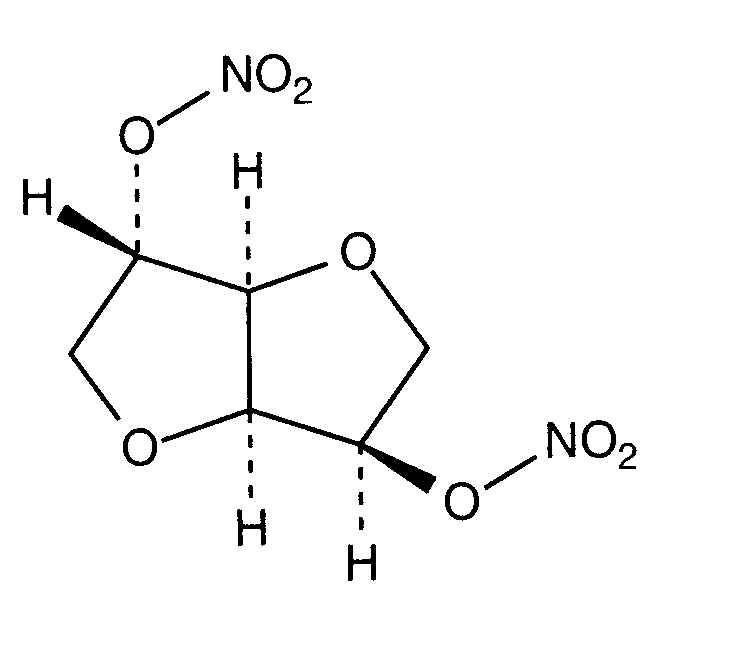
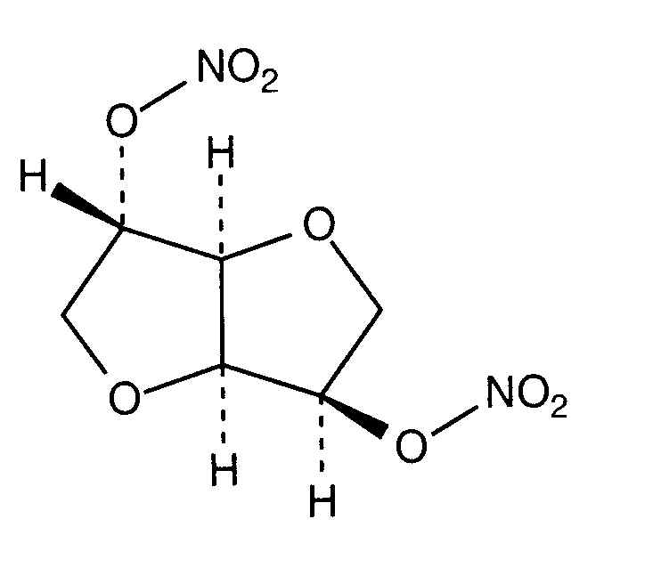
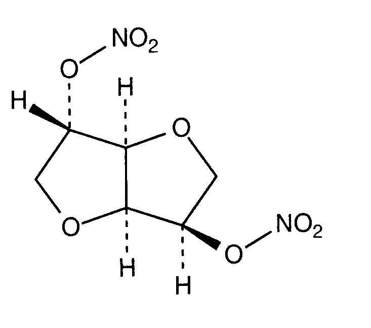
Vasodilatador   Isosorbide dinitrate  
Inyectables
Estabilidad en solucion Estabilidad en mezcla Factores que influyen sobre la estabilidad Compatibilidades método de inyección Bibliografía pdf
   Estructura química  

Nombre comercial   Nombre comercial     

Los nombres comerciales son orientativos y los excipientes de la formulación pueden ser distintos dependiendo del país y del laboratorio fabricante.

Angsobide Malasia
Cedocard Países Bajos
Diniket Italia
Dinit Gran Bretaña
Ekilbran México
Isoket Arabia Saudita, Austria, Egipto, Emiratos Árabes Unidos, Gran Bretaña, Irlanda, Luxemburgo, Malasia, Marruecos, México, Polonia, Portugal, Suiza, Venezuela
Isonit Ecuador, Marruecos
Nitrosid Finlandia
Nitrosorbide Italia
Risordan Francia
Zanisor México
Estabilidad en solucion   Inyectables   Estabilidad en solucion : Isosorbide dinitrate     
Envase Solvente Concentración Temperatura Conservación Duración de la estabilidad Bibliografía
Vidrio Cloruro de sodio 0,9% 0,095 mg/ml 21°C A cubierto de la luz
24 Hora
350

Polietileno Cloruro de sodio 0,9% 0,02 mg/ml 22°C A cubierto de la luz
24 Hora
1067
Nivel de evidencia C

Polietileno Cloruro de sodio 0,9% 0,02 mg/ml 4°C A cubierto de la luz
24 Hora
1067
Nivel de evidencia C

Polietileno Cloruro de sodio 0,9% 0,095 mg/ml 21°C A cubierto de la luz
24 Hora
350

Polietileno Glucosa 5% 0,02 mg/ml 22°C A cubierto de la luz
24 Hora
1067
Nivel de evidencia C

Polietileno Glucosa 5% 0,02 mg/ml 4°C A cubierto de la luz
24 Hora
1067
Nivel de evidencia C

jeringa polipropileno Cloruro de sodio 0,9% 0,6 mg/ml 2-8°C A cubierto de la luz
28 Día
4374
Nivel de evidencia C+


  Mentions Légales