Останнє оновлення :
17/12/2025
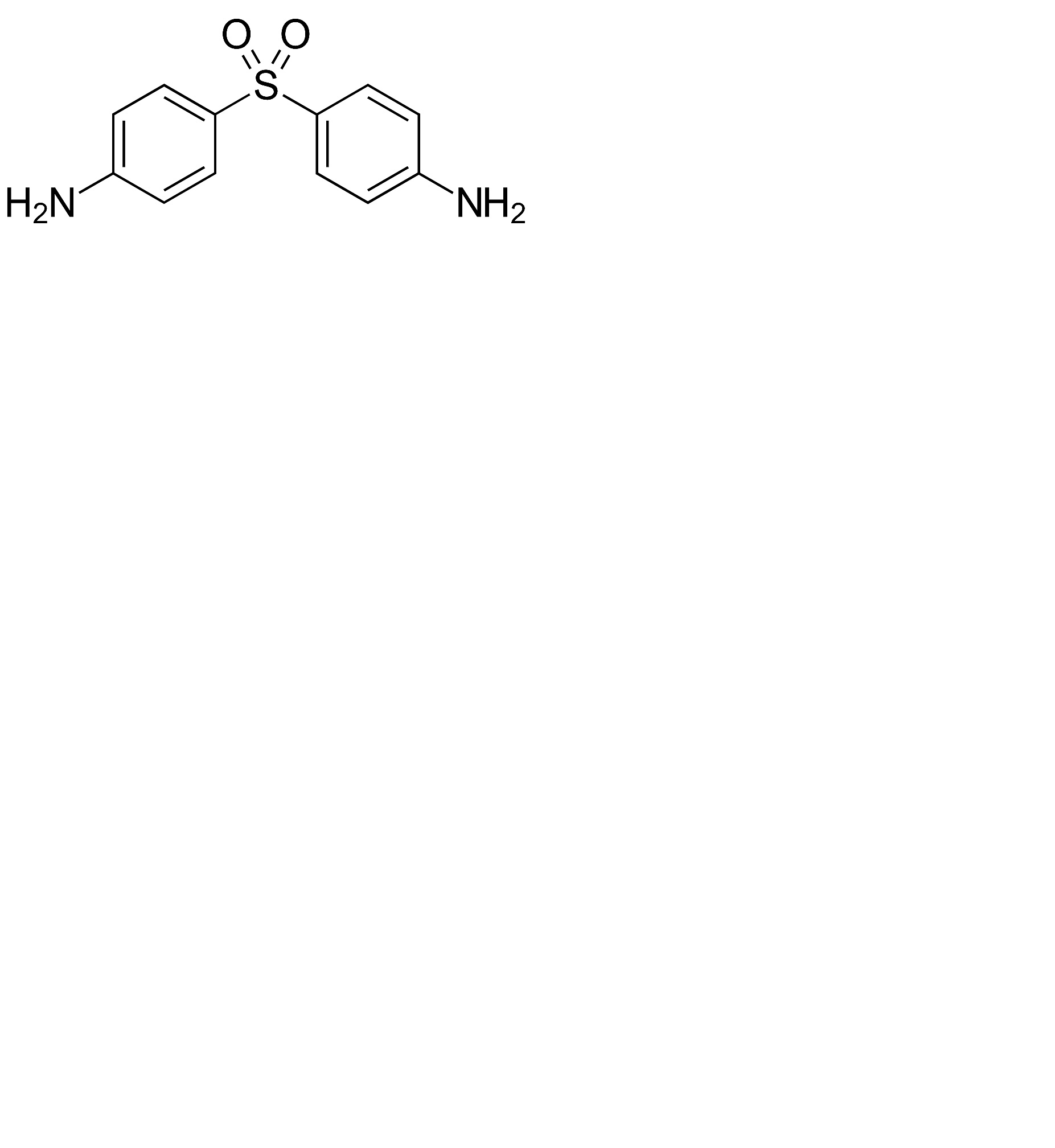
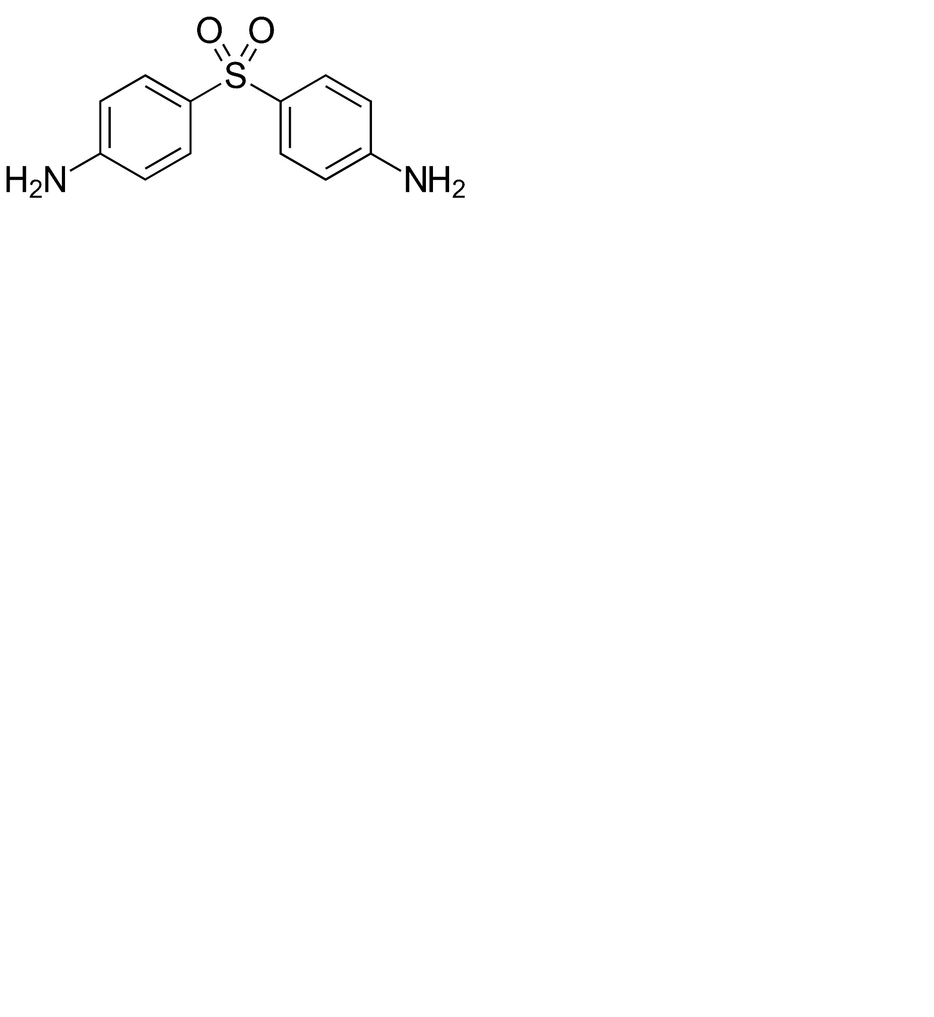
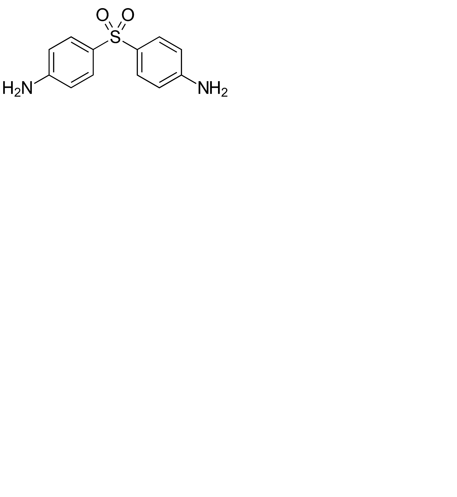
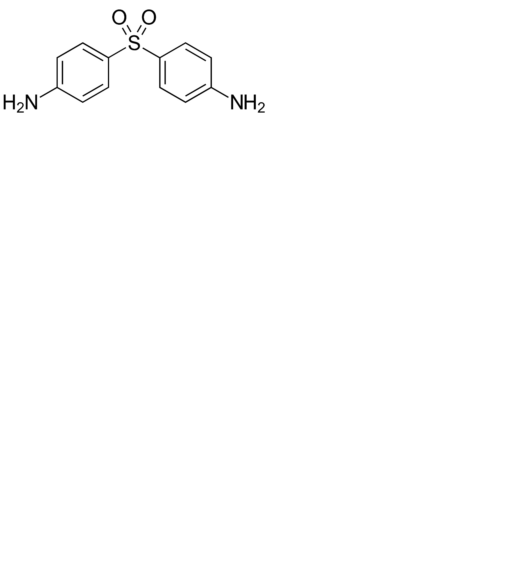
Антибіотик   Dapsone  
Мазі
Розчин для перорального застосування
Стабільність фармацевтичних препаратів Стійкість сумішей Фактори, що впливають на стабільність Сумісність Список літератури pdf
   Хімічна структура  

Мазі

Фактори, що впливають на стабільність   Мазі   Фактори, що впливають на стабільність : Dapsone        
7 / 5 000 Résultats de traduction Немає даних

  Mentions Légales