Last update :
18/03/2026
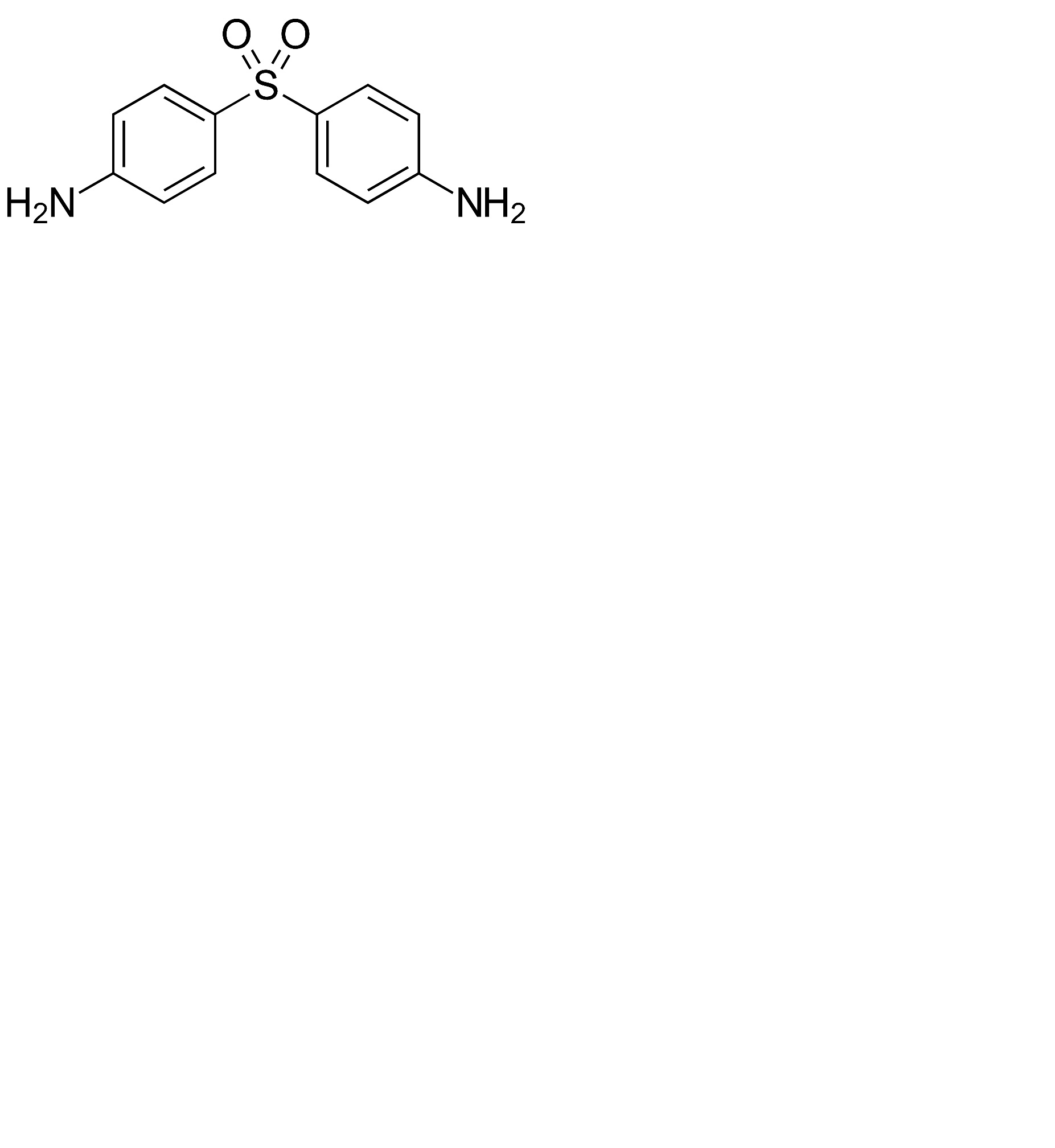
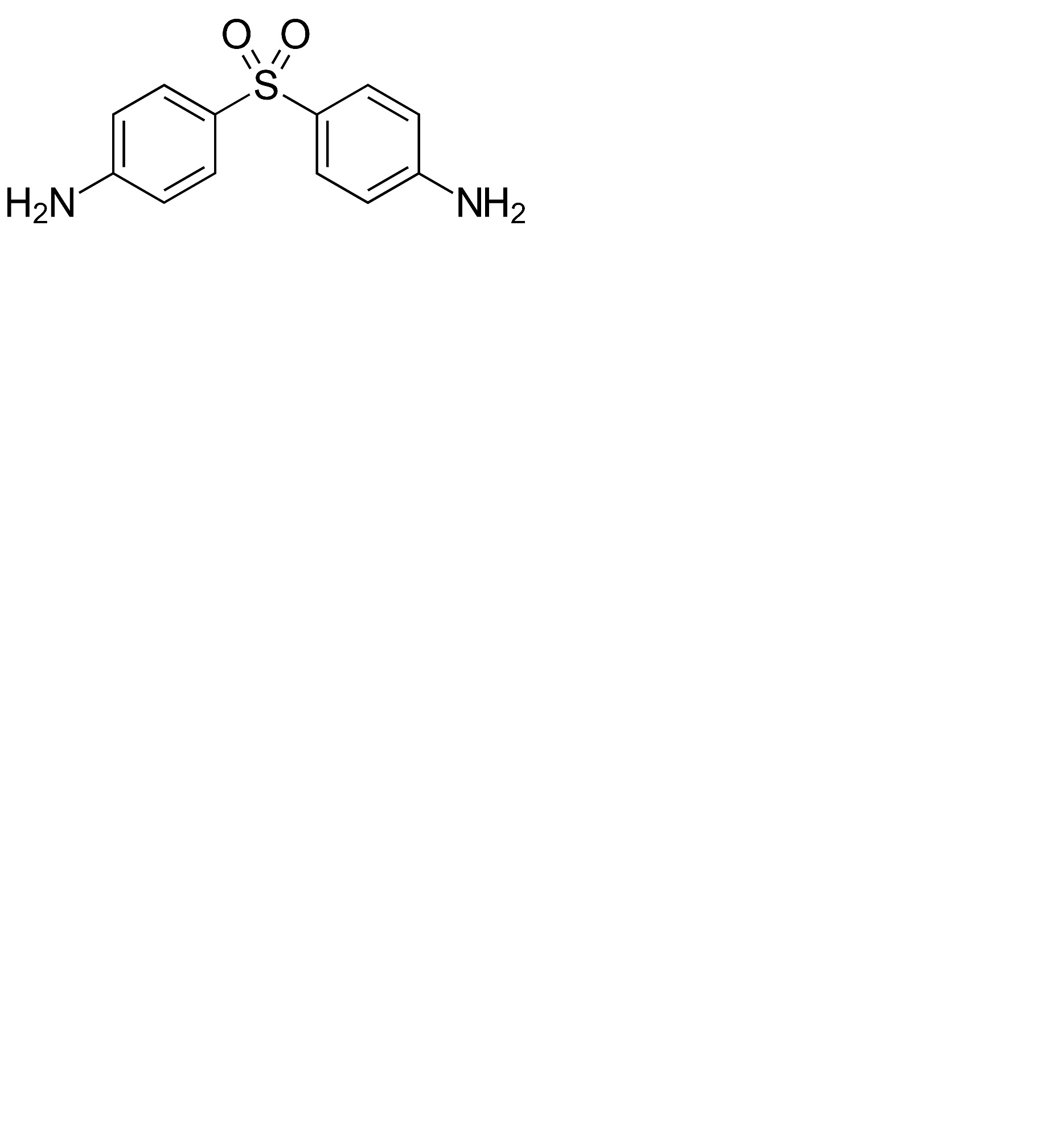
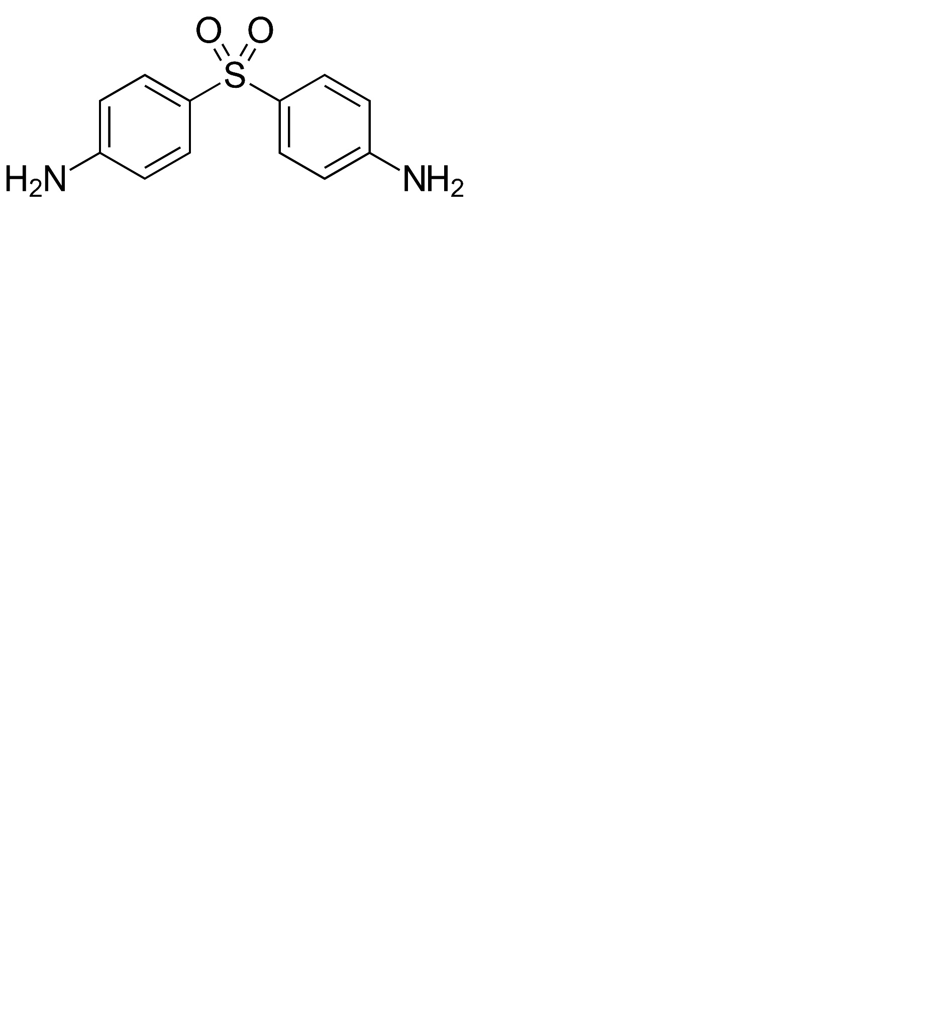
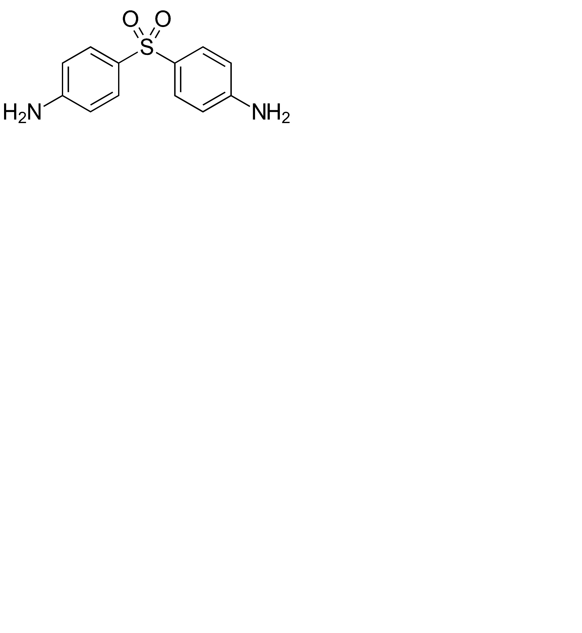
Antibiotic   Dapsone  
Ointments
Oral solution
Stability of pharmaceutical preparations Stability of mixtures Factors which affect stability Compatibility References pdf
   Chemical structure  

Ointments

Factors which affect stability   Ointments   Factors which affect stability : Dapsone        
No data

  Mentions Légales