Zadnji put ažurirano :
18/03/2026
antibiotik   Dapsone  
masti
oralna otopina
Stabilnost farmaceutskih pripravaka Stabilnost mješavine Stabilizacijski faktor Kompatibilnosti Bibliografija pdf
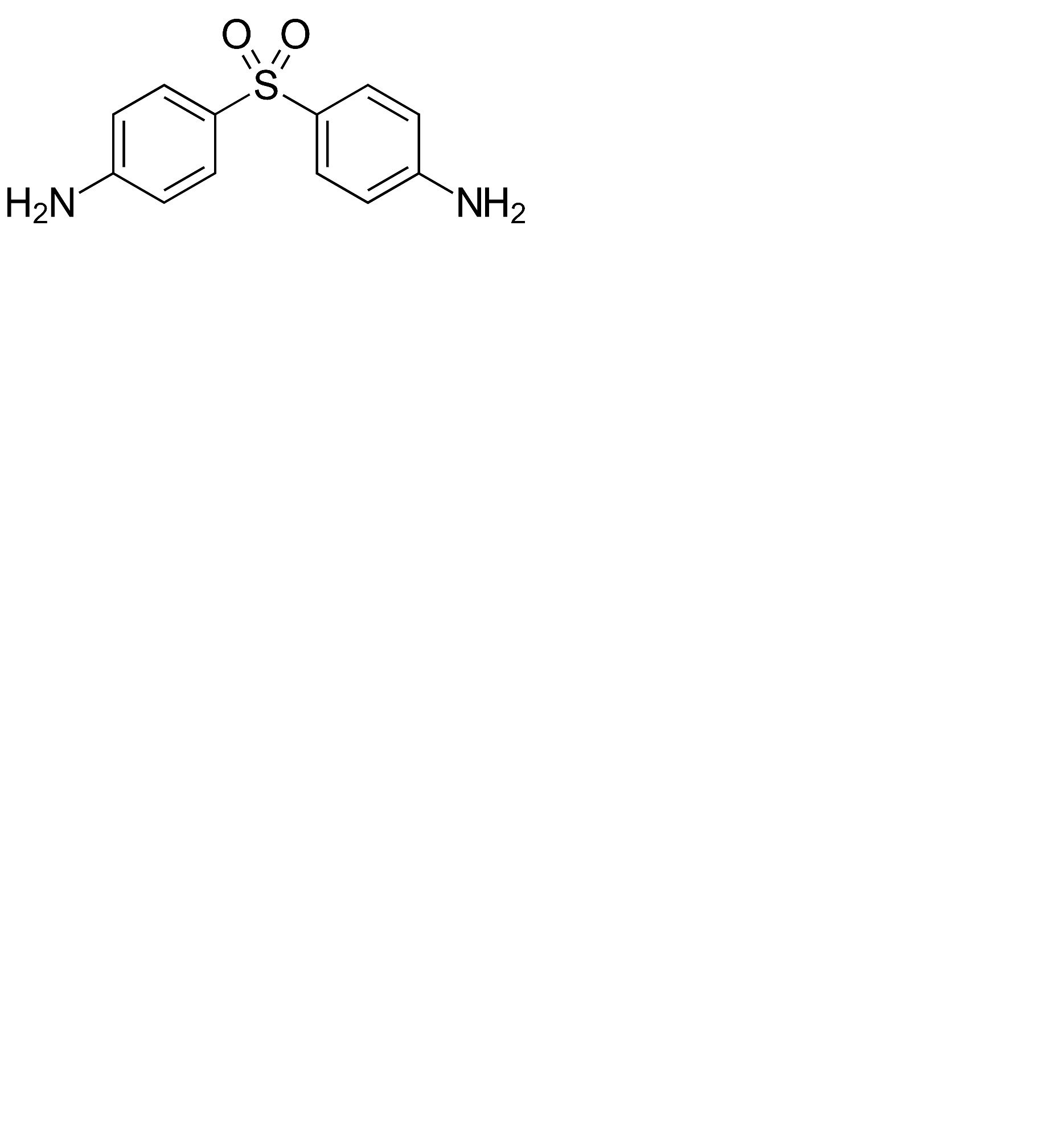
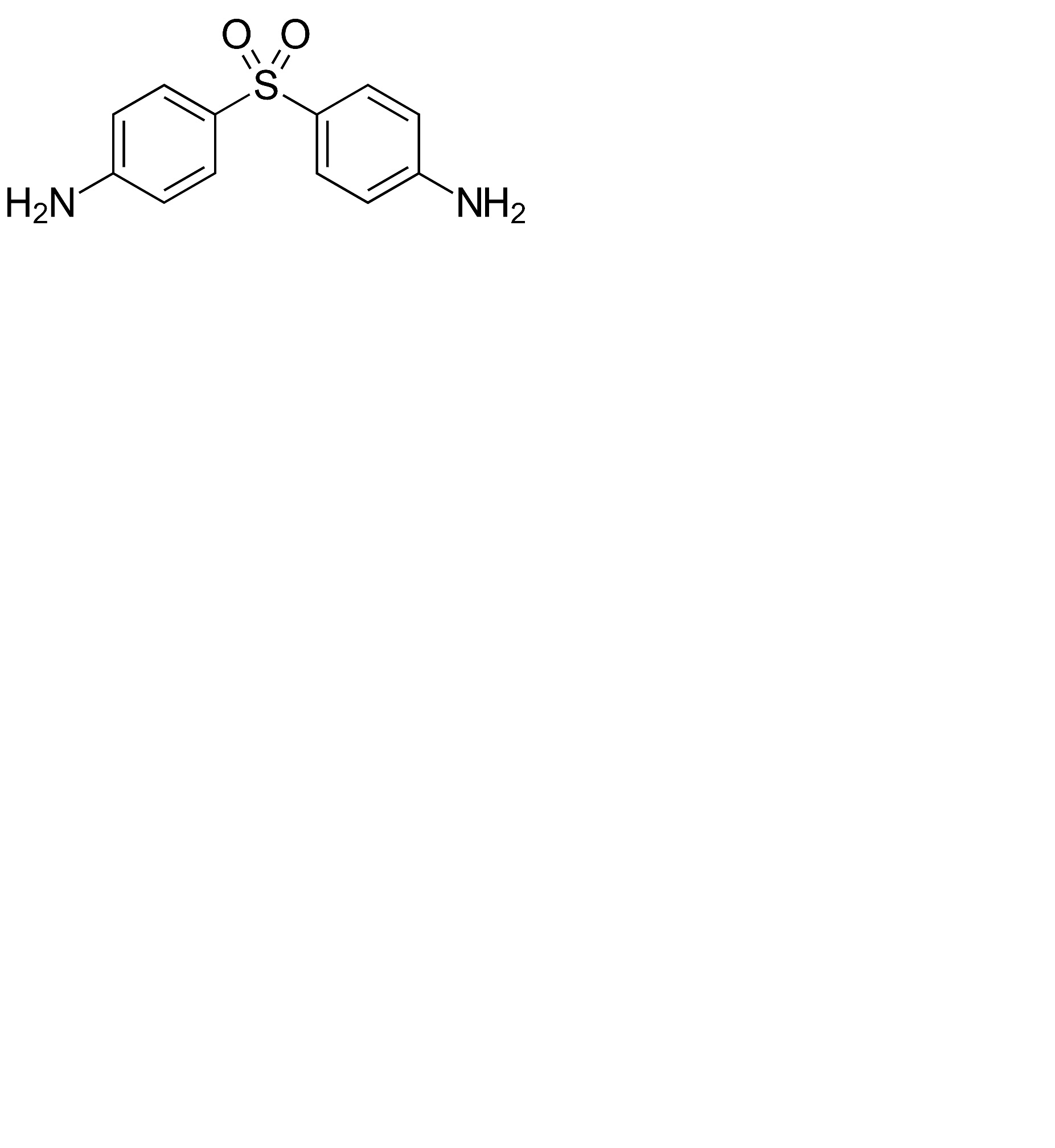
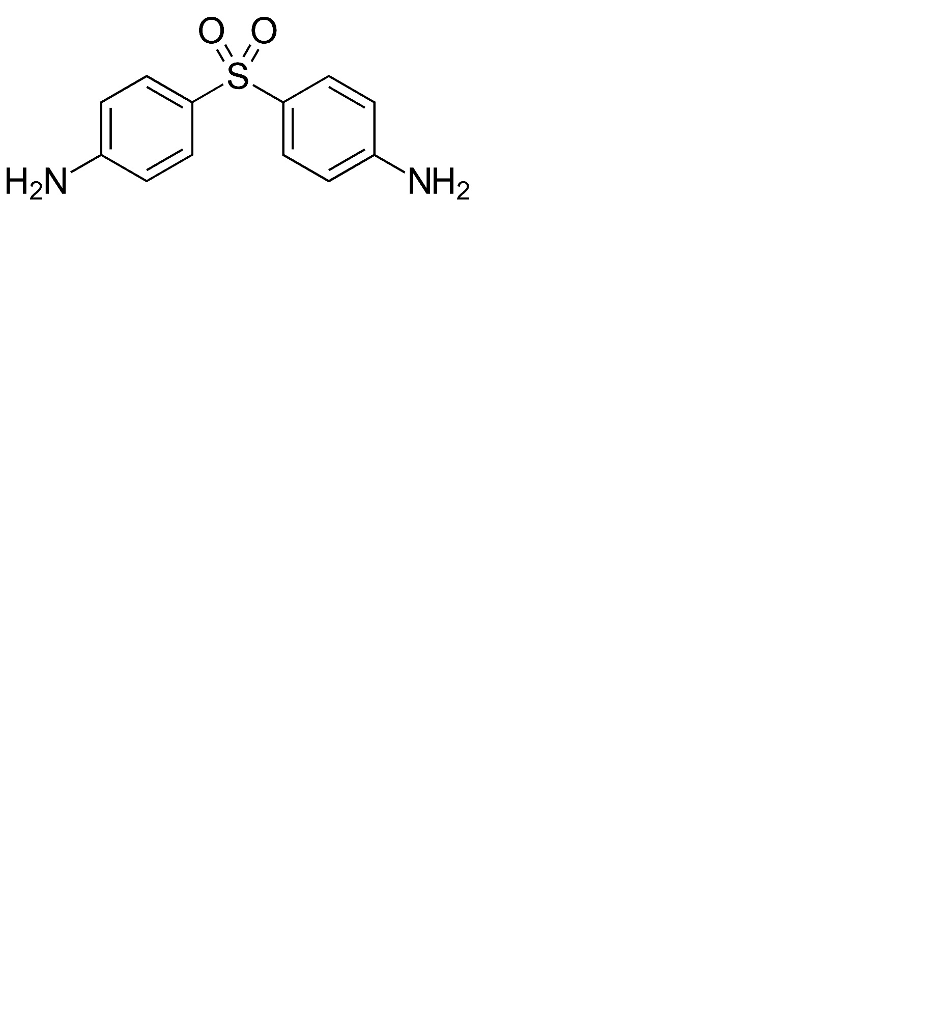
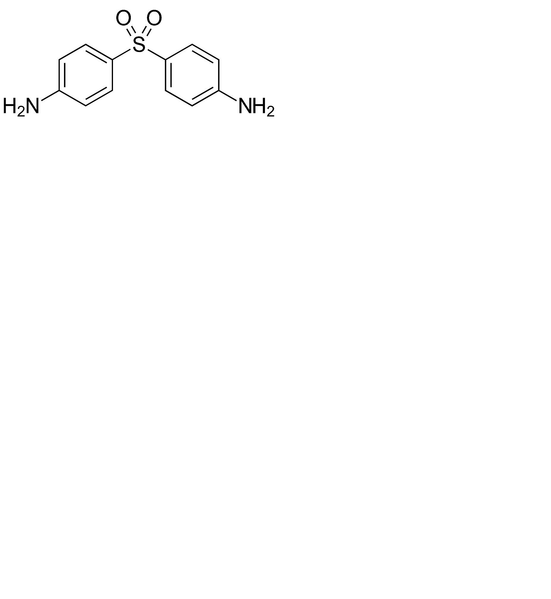
   Kemijska struktura  

masti

Stabilizacijski faktor   masti   Stabilizacijski faktor : Dapsone        
bez podataka

  Mentions Légales