Poslední aktualizace :
18/03/2026
Antibiotikum   Dapsone  
Masti
Perorální roztok
Stabilita farmaceutických přípravků Stabilita směsí Faktory ovlivňující stabilitu Kompatibilita Odkazy pdf
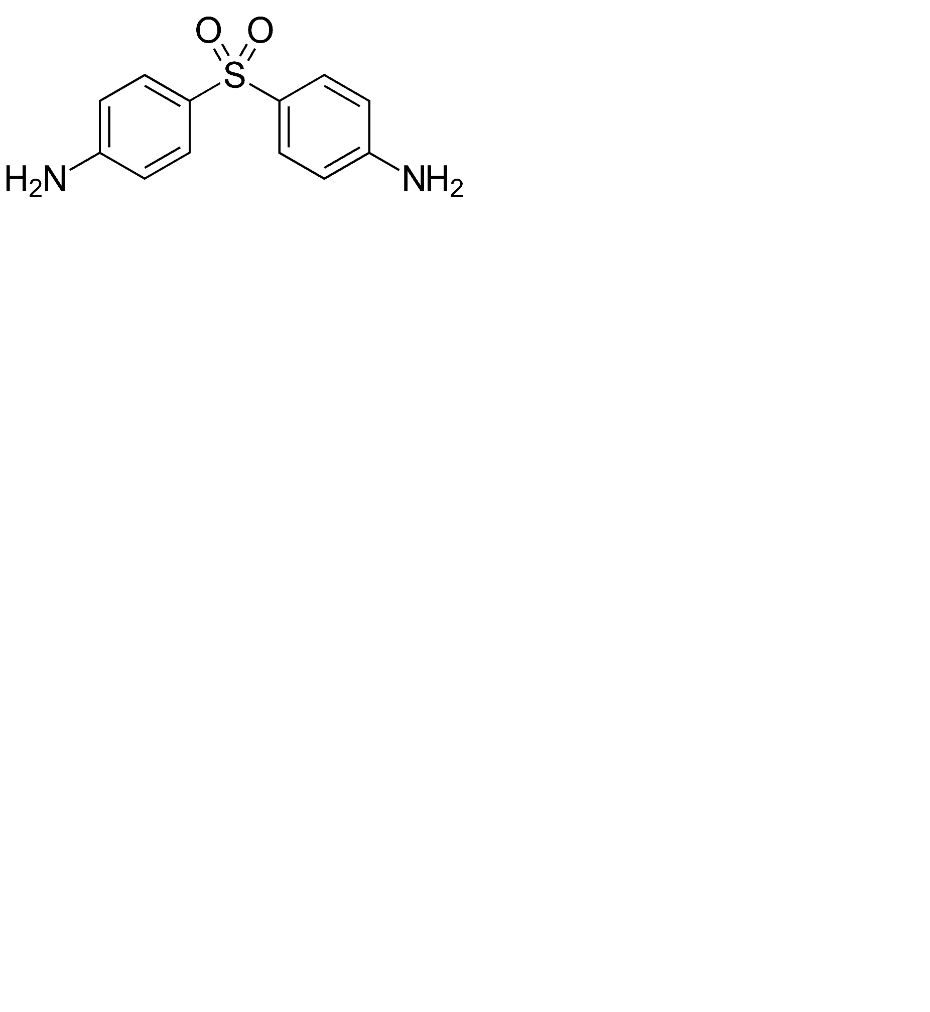
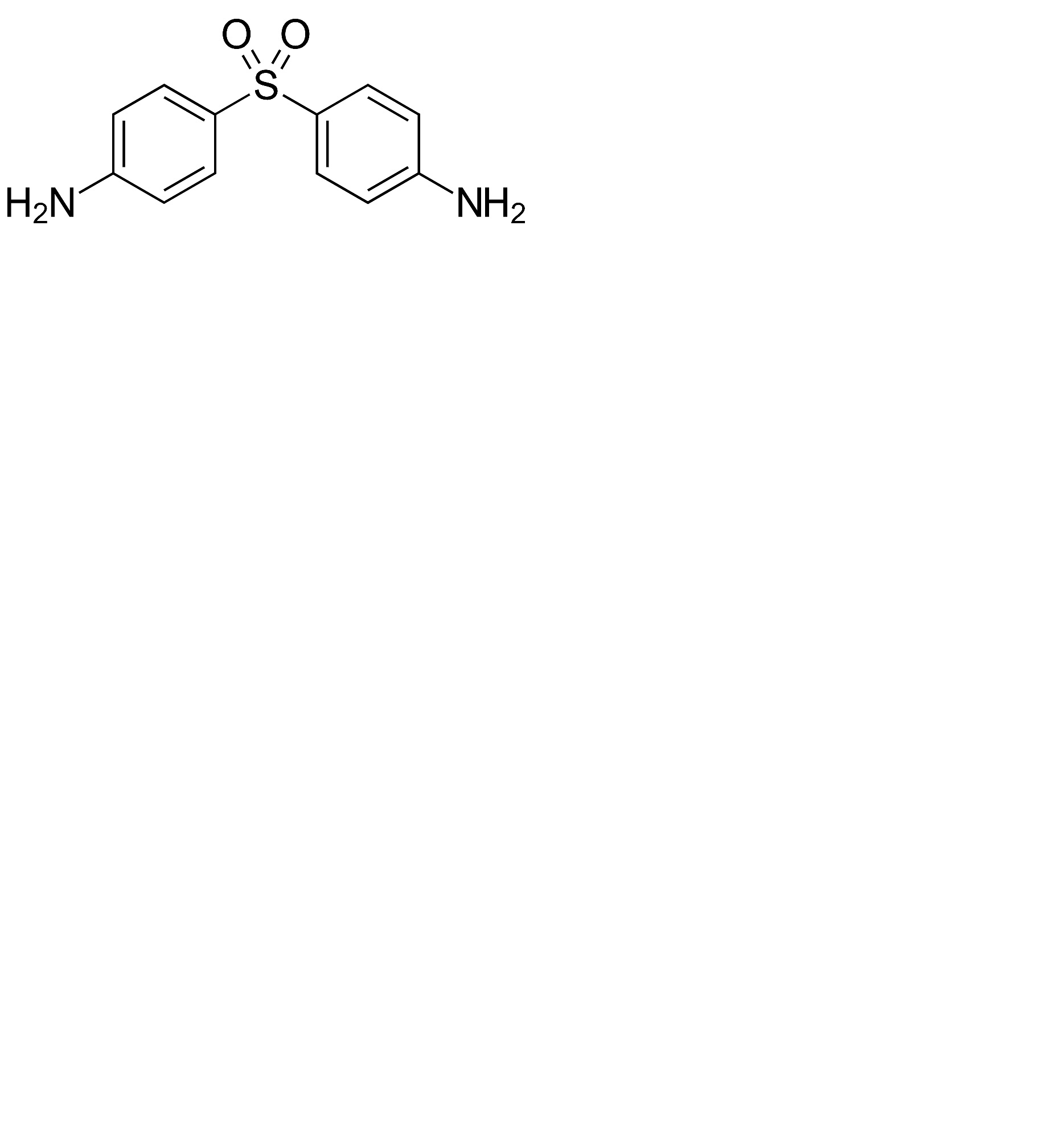
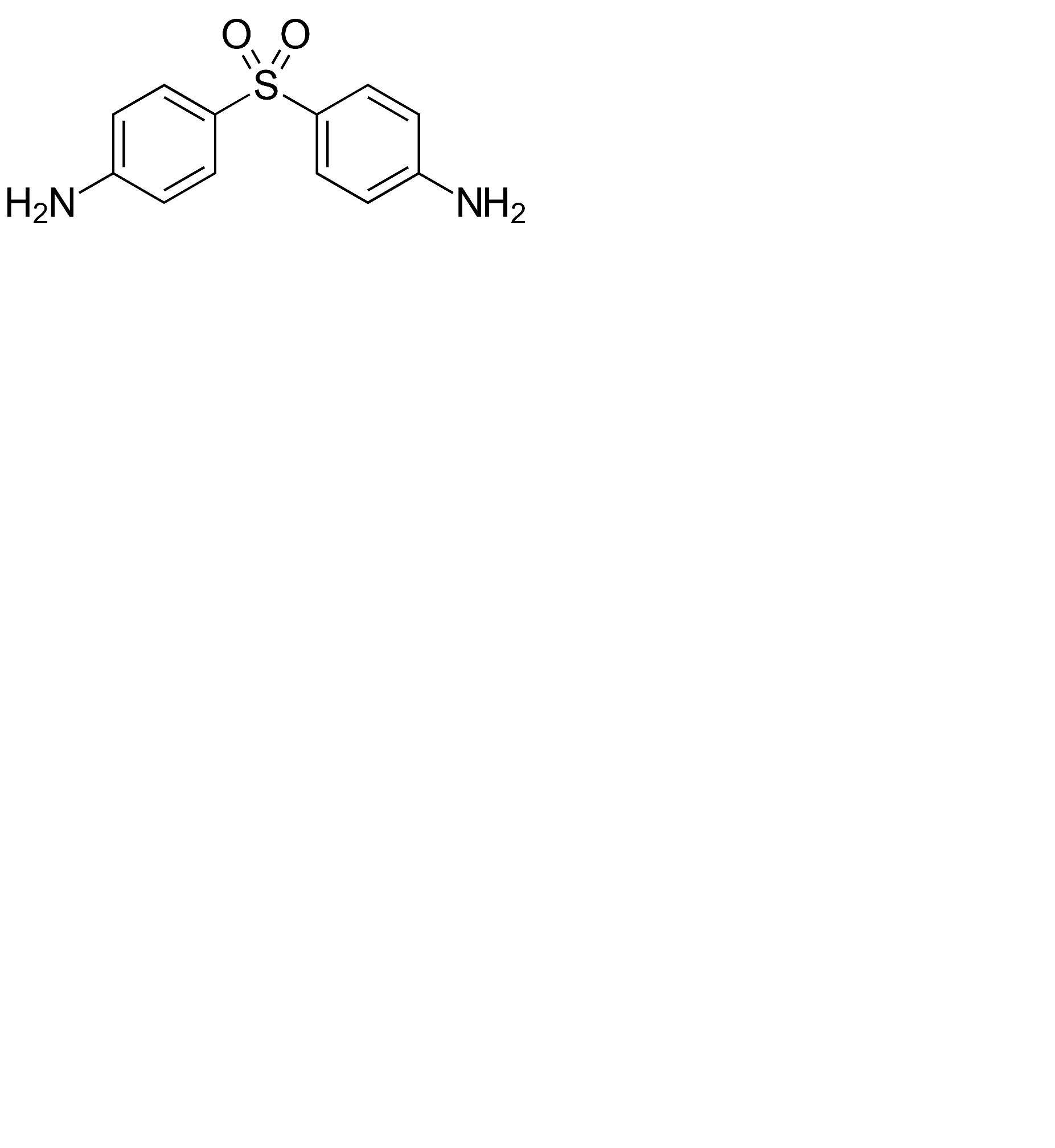
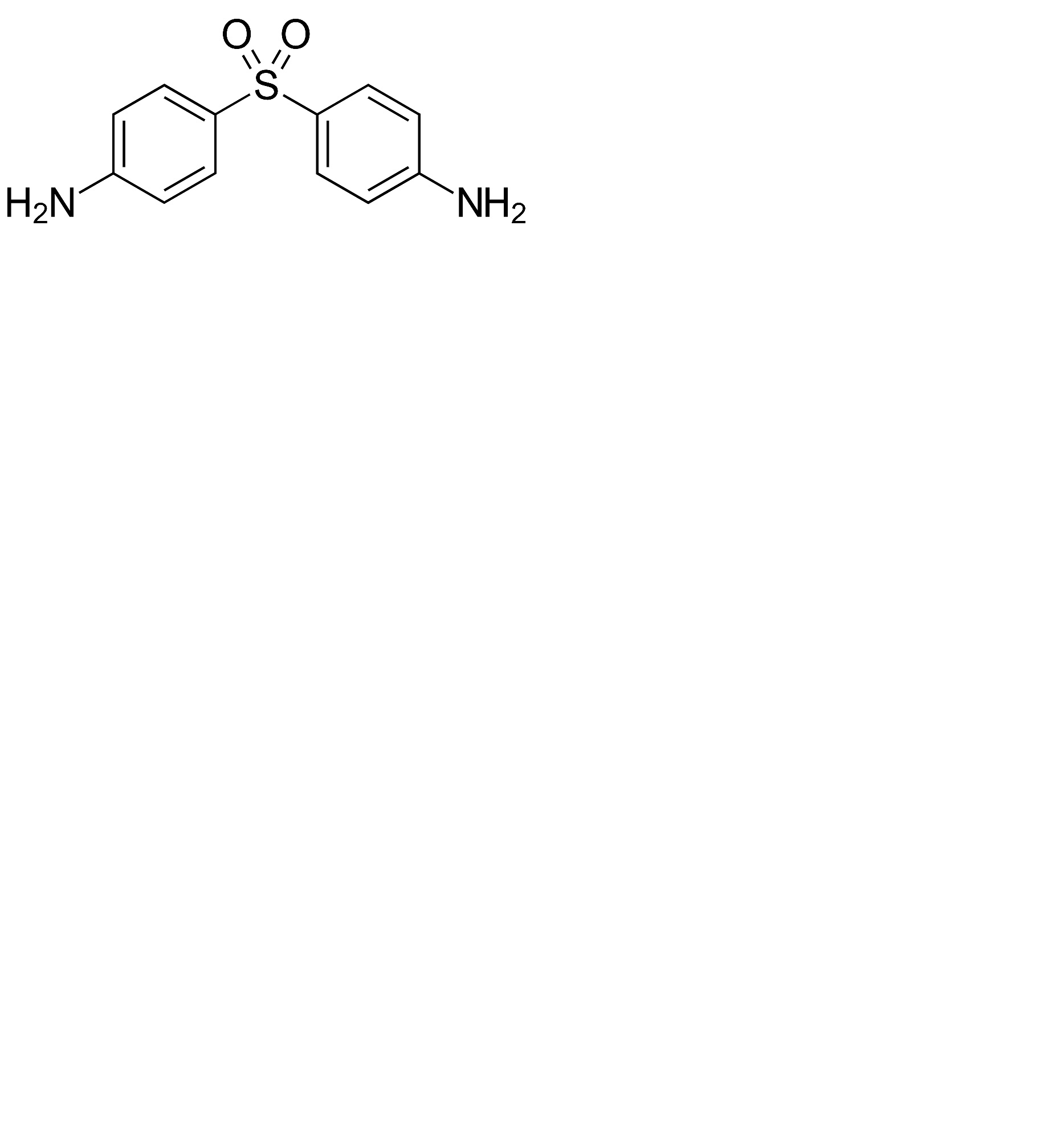
   Chemický vzorec  

Masti

Faktory ovlivňující stabilitu   Masti   Faktory ovlivňující stabilitu : Dapsone        
žádná data

  Mentions Légales