Pēdējā atjaunošana :
18/03/2026
Antibiotika   Dapsone  
Ziedes
Orāls šķīdums
Stabilitāte farmaceitisko preparātu Maisījuma stabilitāte Stabilitāti ietekmējoši faktori Saderība Literatūras saraksts pdf
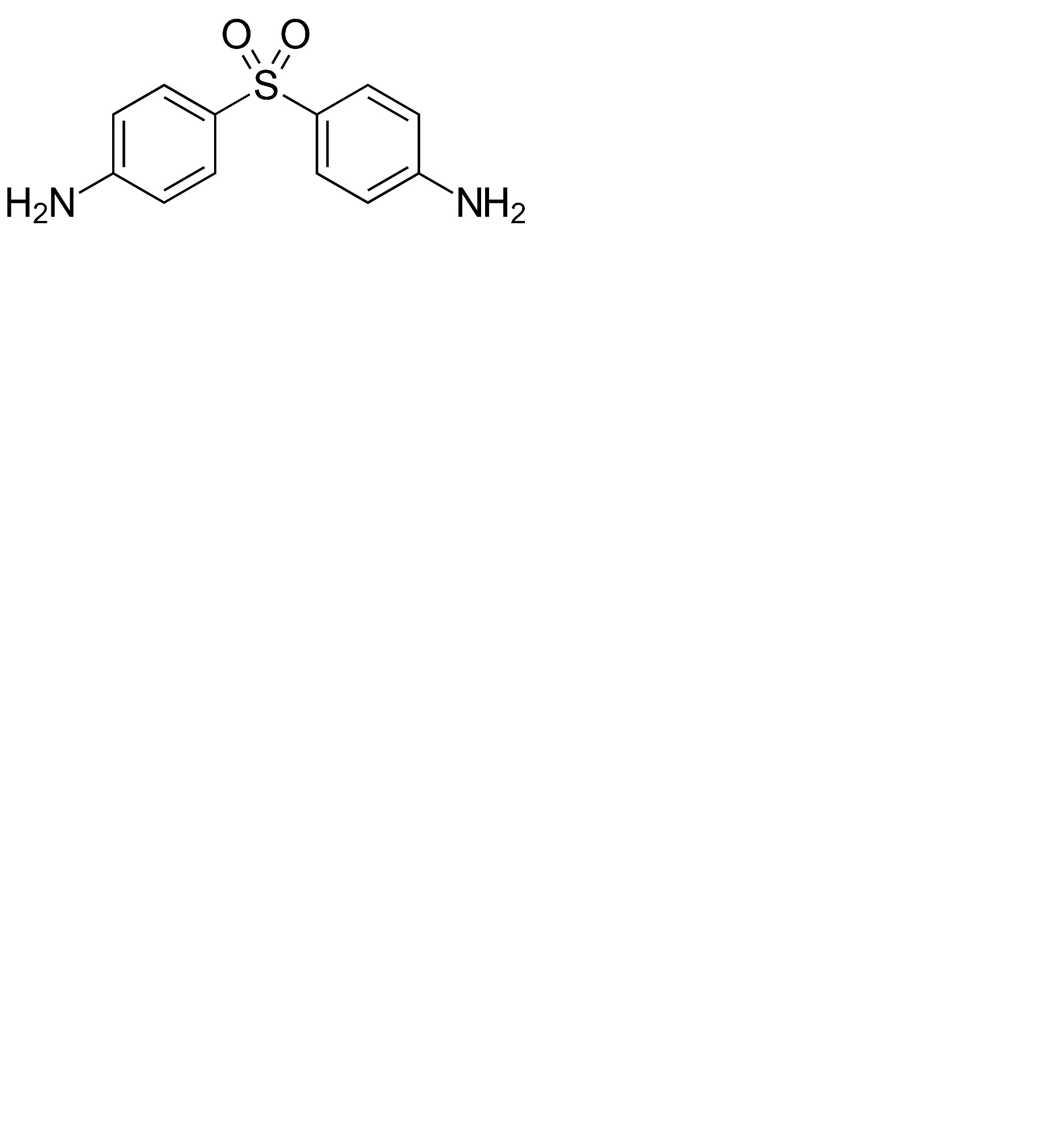
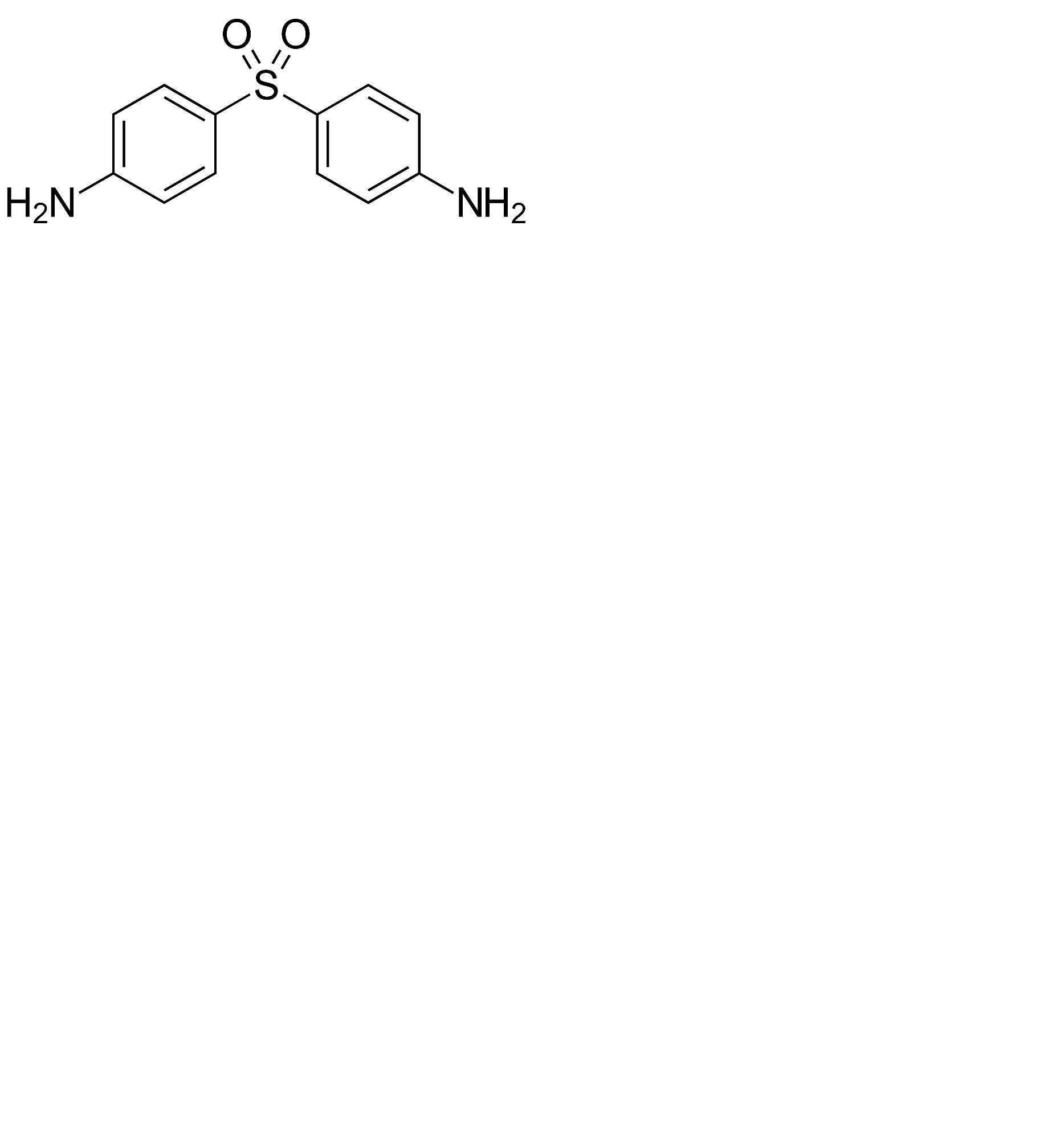
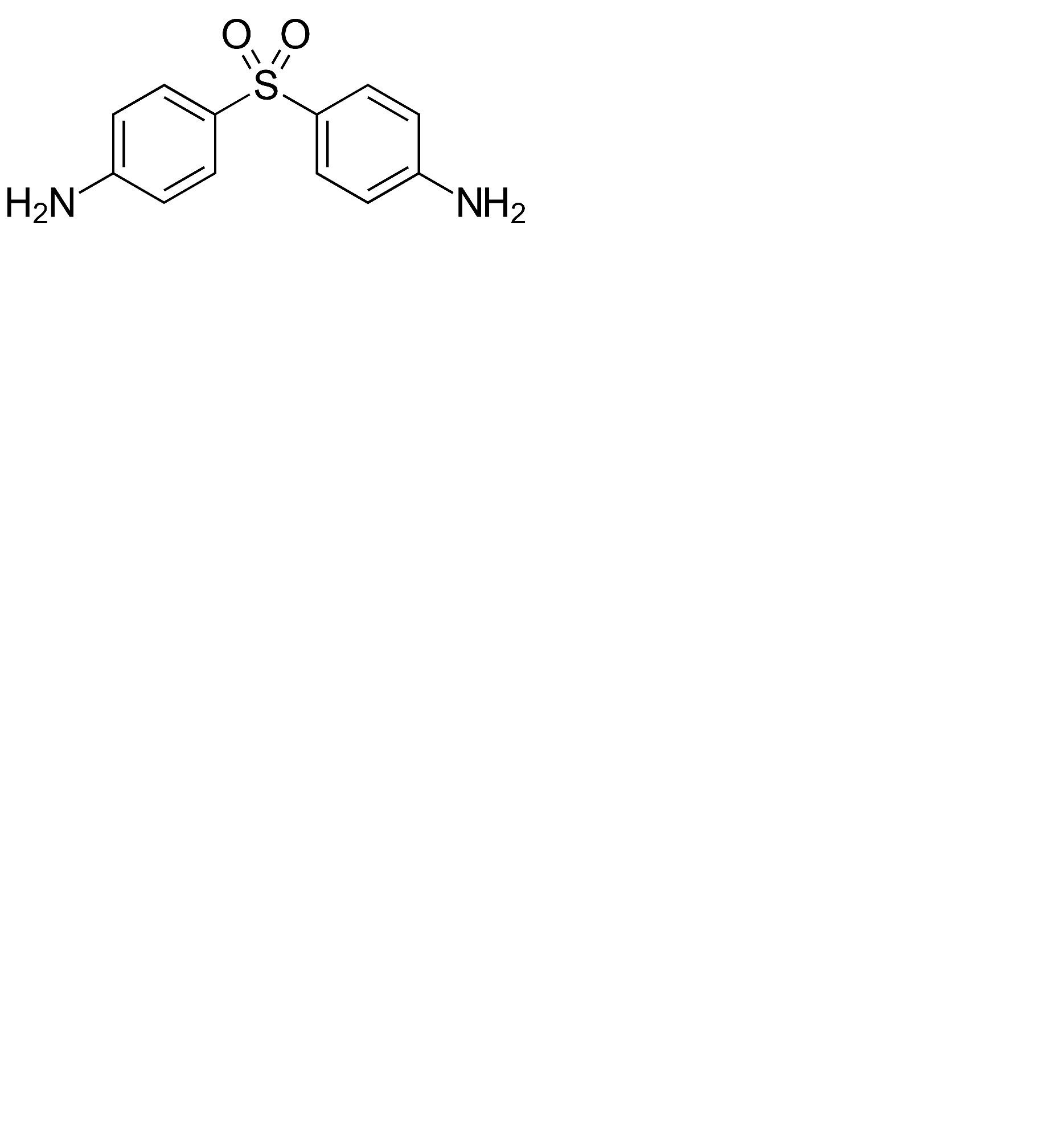
   Ķīmiskā uzbūve   

Ziedes

Stabilitāti ietekmējoši faktori   Ziedes   Stabilitāti ietekmējoši faktori : Dapsone        
Nav datu

  Mentions Légales