zadnja posodobitev :
18/03/2026
Antibiotik   Dapsone  
Mazila
Peroralna raztopina
Stabilnost farmacevtskih preparatov Stabilnost mešanice Faktorji, ki vplivajo na stabilnost Kompatibilnost Viri pdf
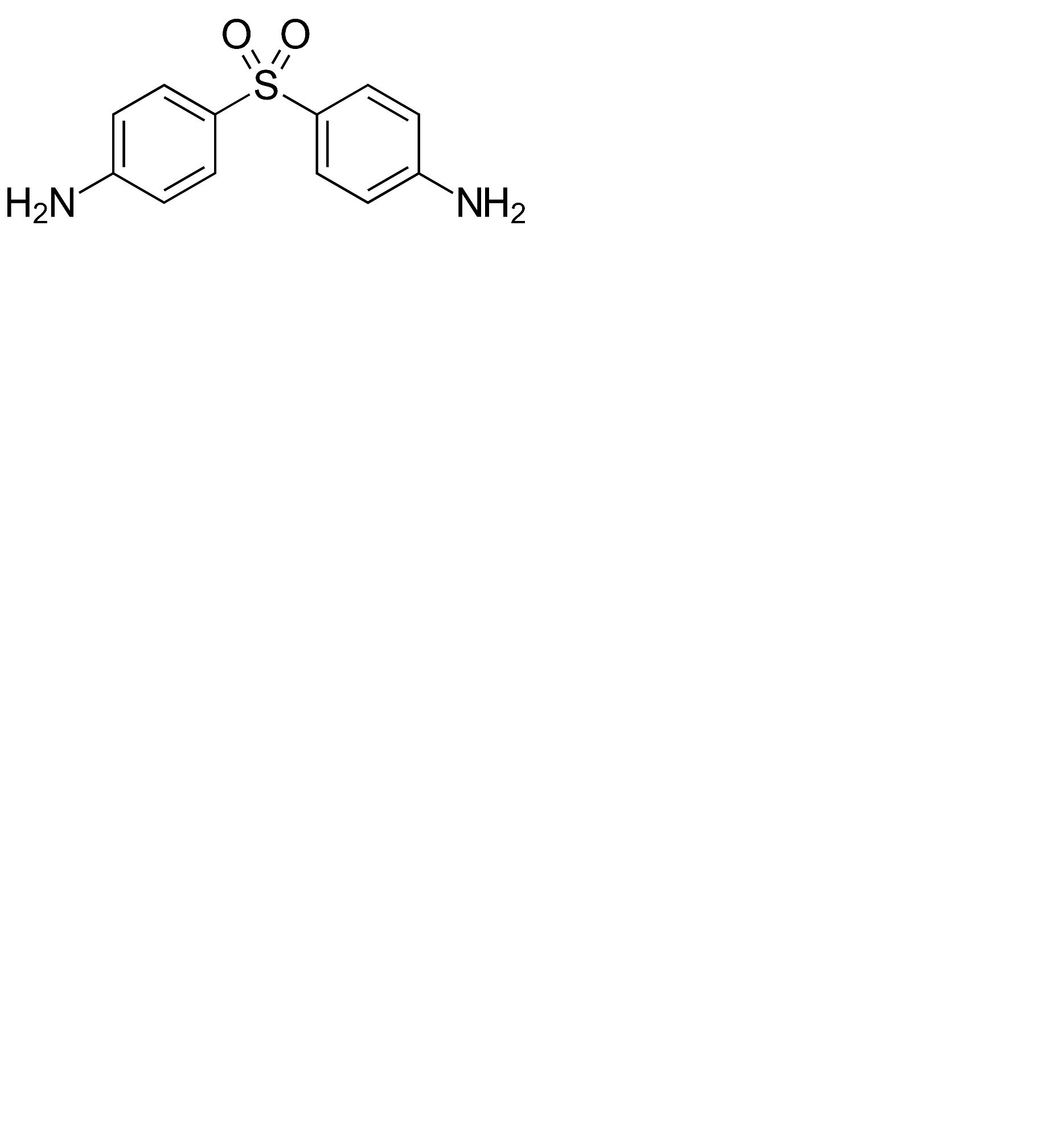
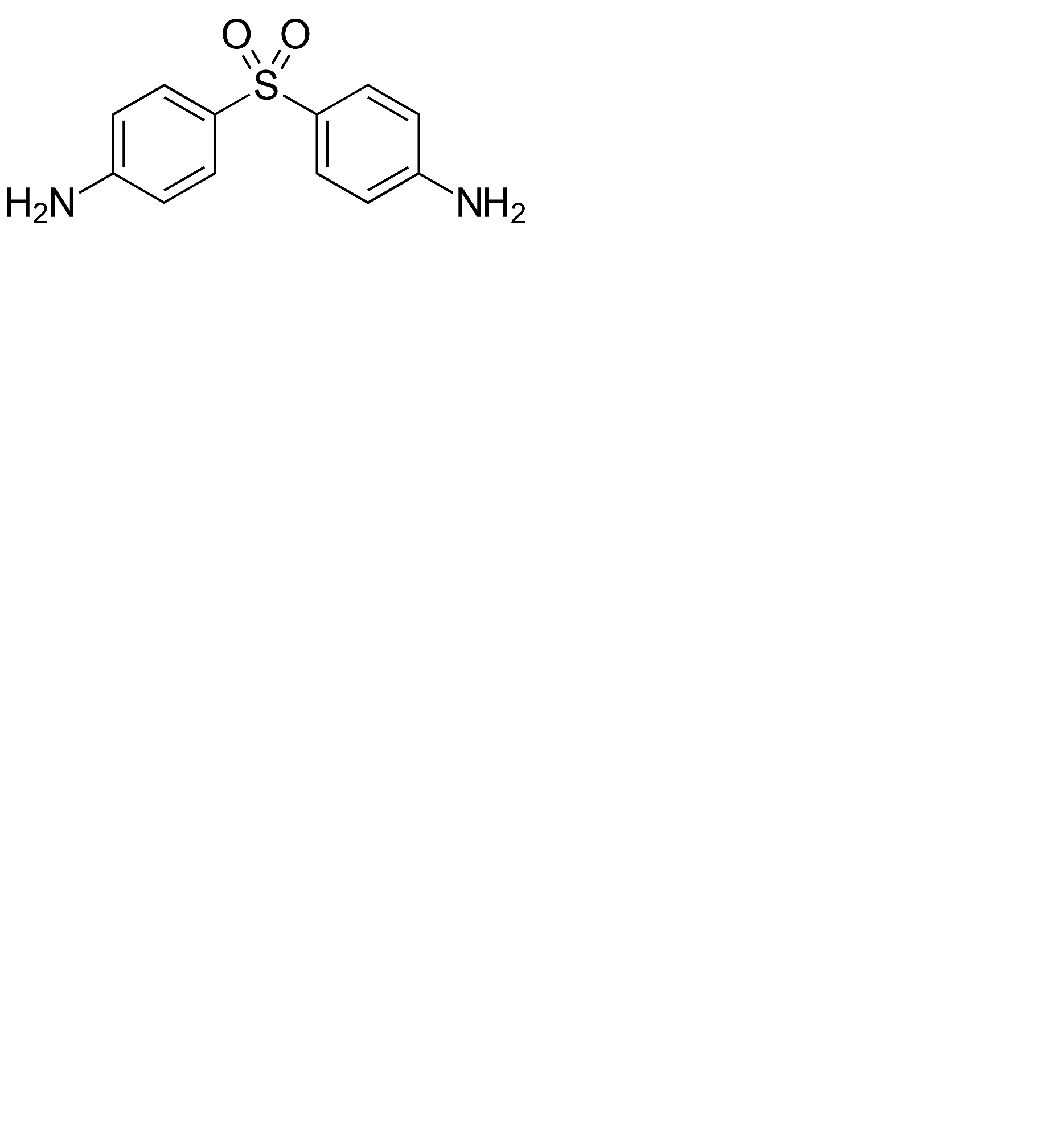
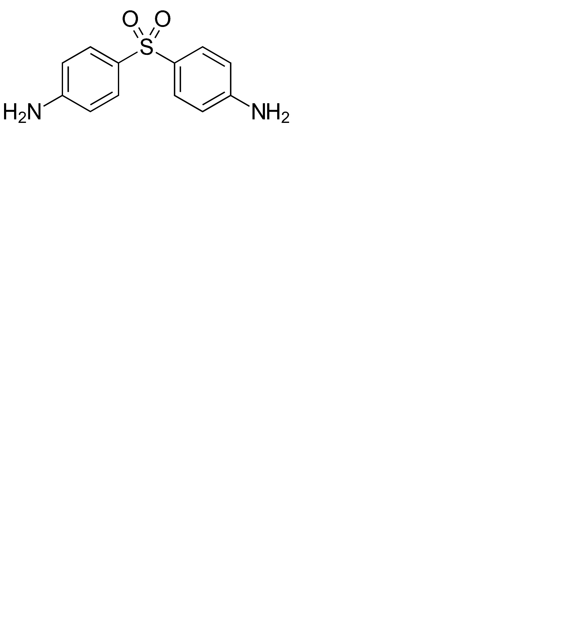
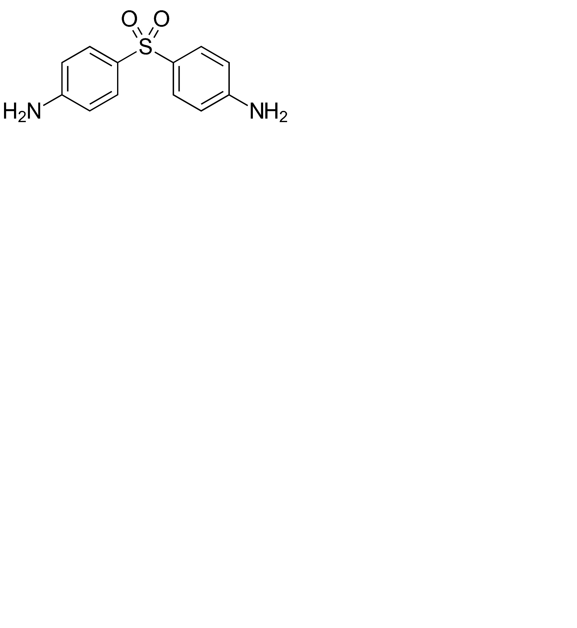
   Kemična formula  

Mazila

Faktorji, ki vplivajo na stabilnost   Mazila   Faktorji, ki vplivajo na stabilnost : Dapsone        
ni podatka

  Mentions Légales