Senaste uppdateringen :
18/03/2026
Antibiotikum   Dapsone  
Salvor
Oral lösning
Stabilitet av läkemedel Stabilitet i blandningar Faktorer som påverkar stabiliteten Kompatibilitet Hänvisningar pdf
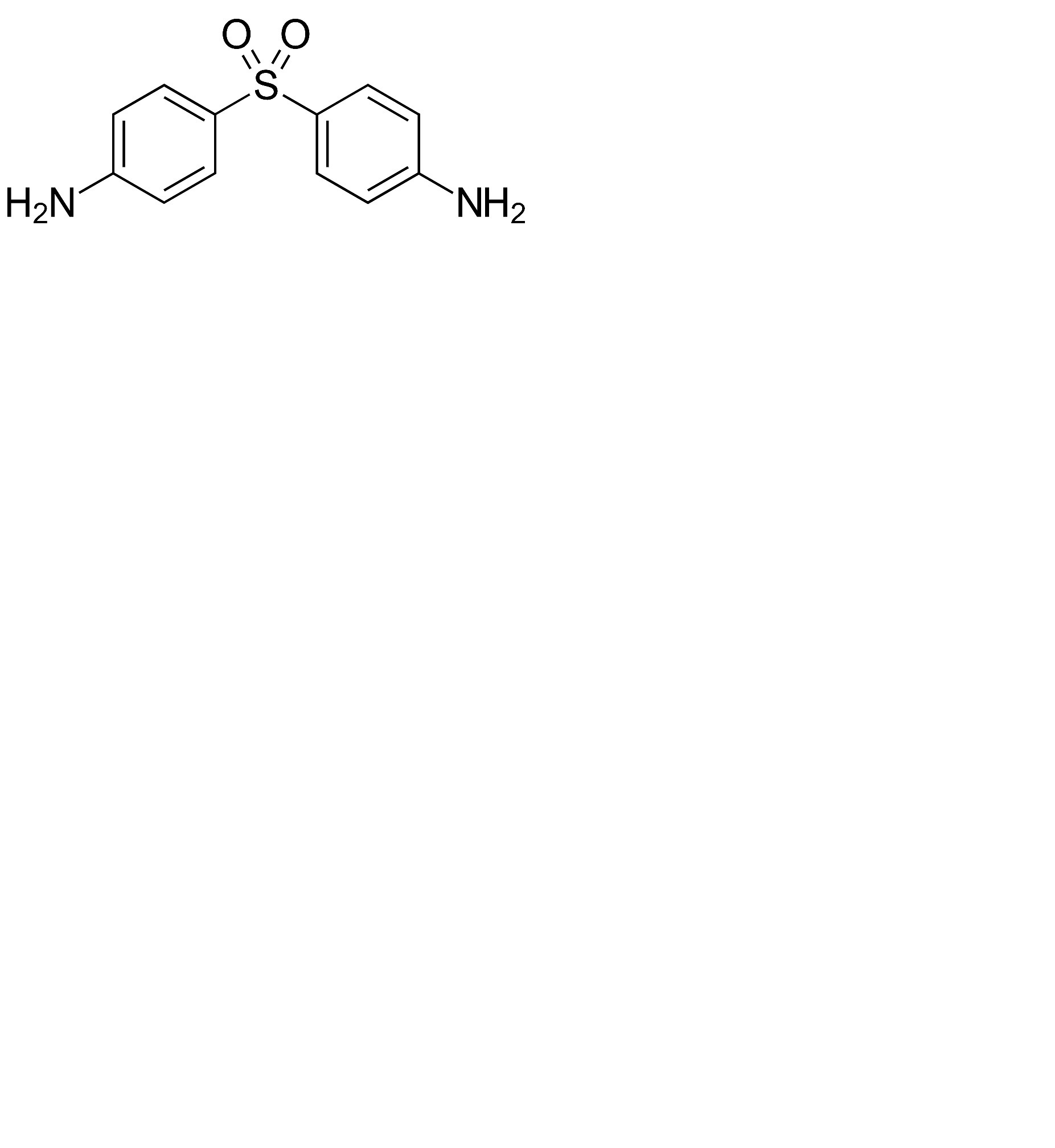
   Molekylstruktur  

Salvor

Faktorer som påverkar stabiliteten   Salvor   Faktorer som påverkar stabiliteten : Dapsone        
Ingen uppgift

  Mentions Légales