Letztes “update” :
17/12/2025
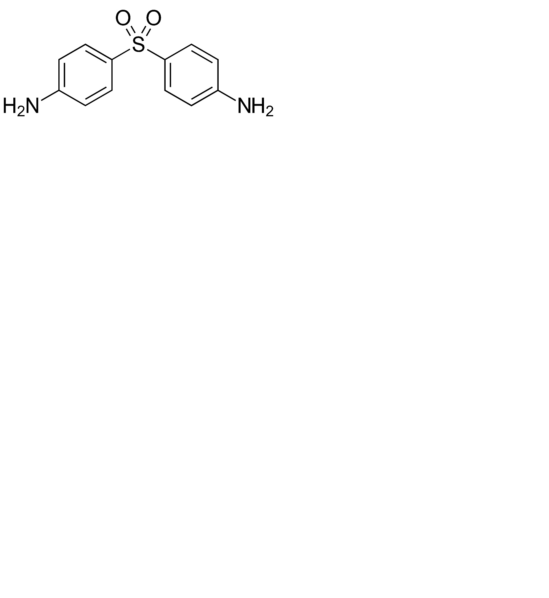
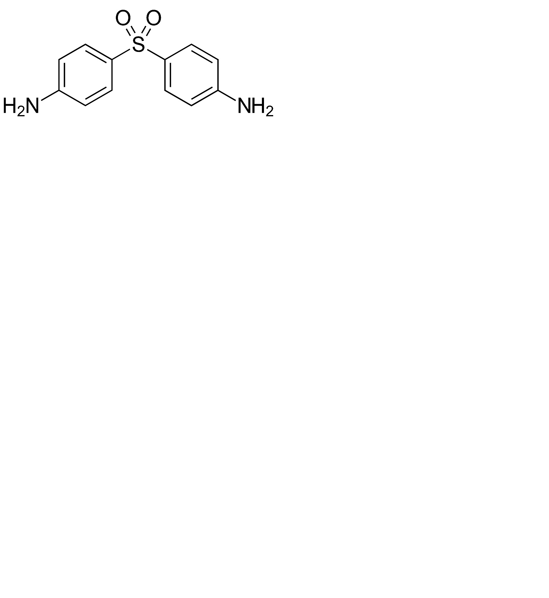
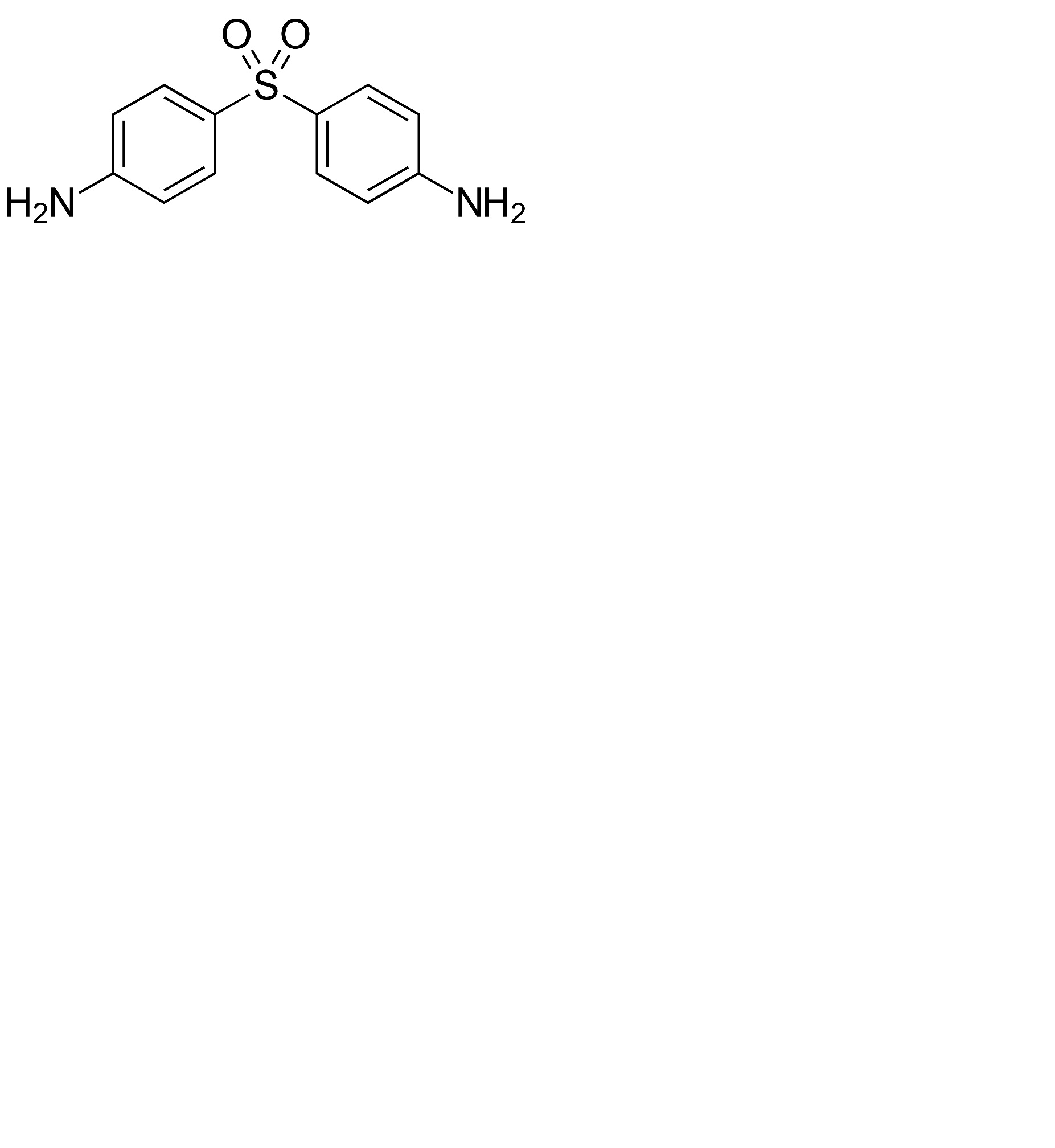
Antibiotikum   Dapsone  
Salben
Lösung zum Einnehmen
Stabilität von pharmazeutischen Präparaten Gemengestabilität Stabilitätbeeinflussende Faktoren Kompatibilitäten Literaturverzeichnis pdf
   Chemische Struktur  

Salben

Stabilitätbeeinflussende Faktoren   Salben   Stabilitätbeeinflussende Faktoren : Dapsone        
Keine Daten

  Mentions Légales