Cập nhật lần cuối :
03/02/2026
Thuốc kháng virus   Ganciclovir  
Thuốc nhỏ mắt
Tính ổn định của các chế phẩm Độ ổn định khi trộn lẫn Những yếu tố ảnh hưởng đến độ ổn định Khả năng tương thích Tài liệu tham khảo Pdf
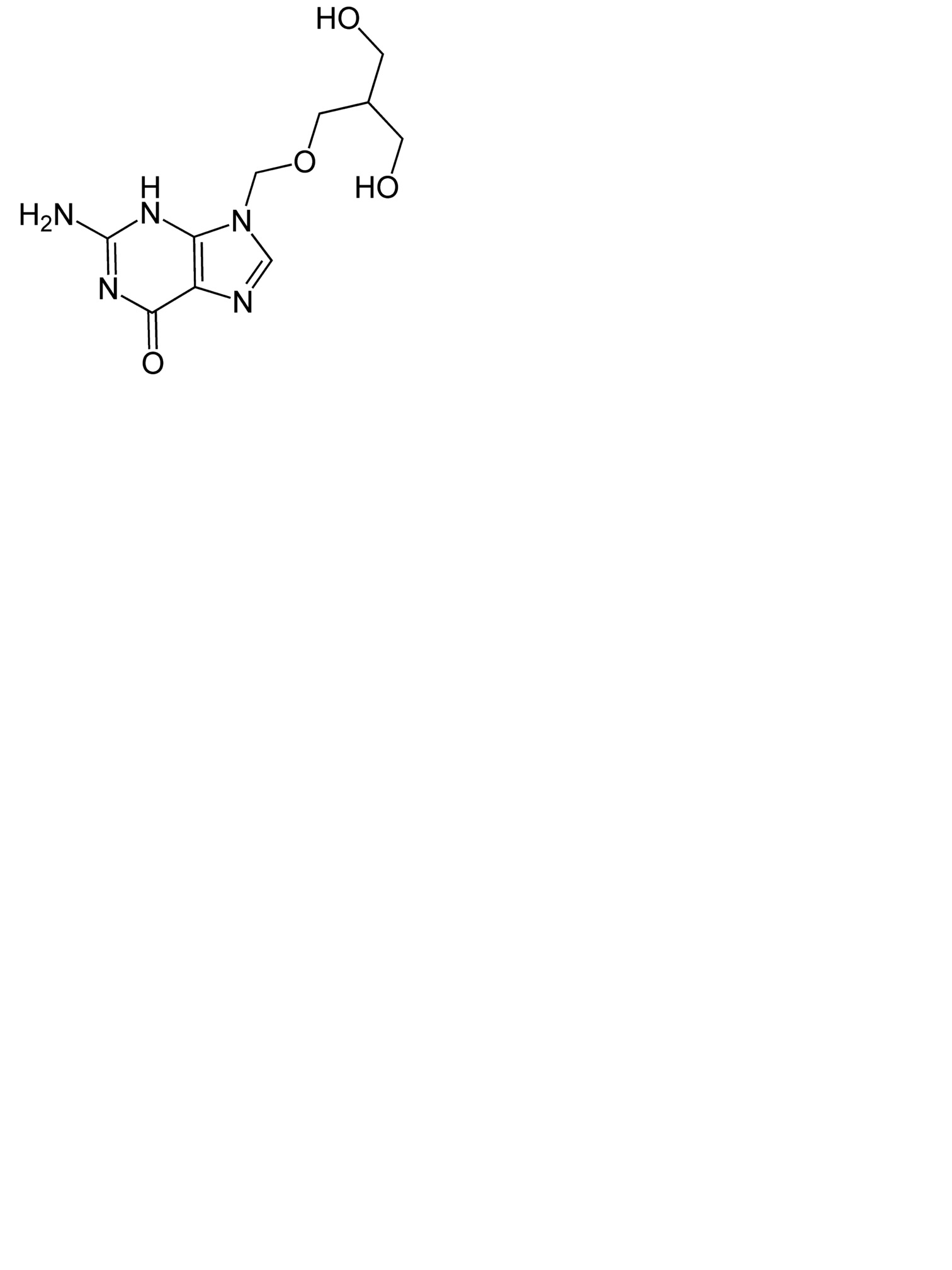
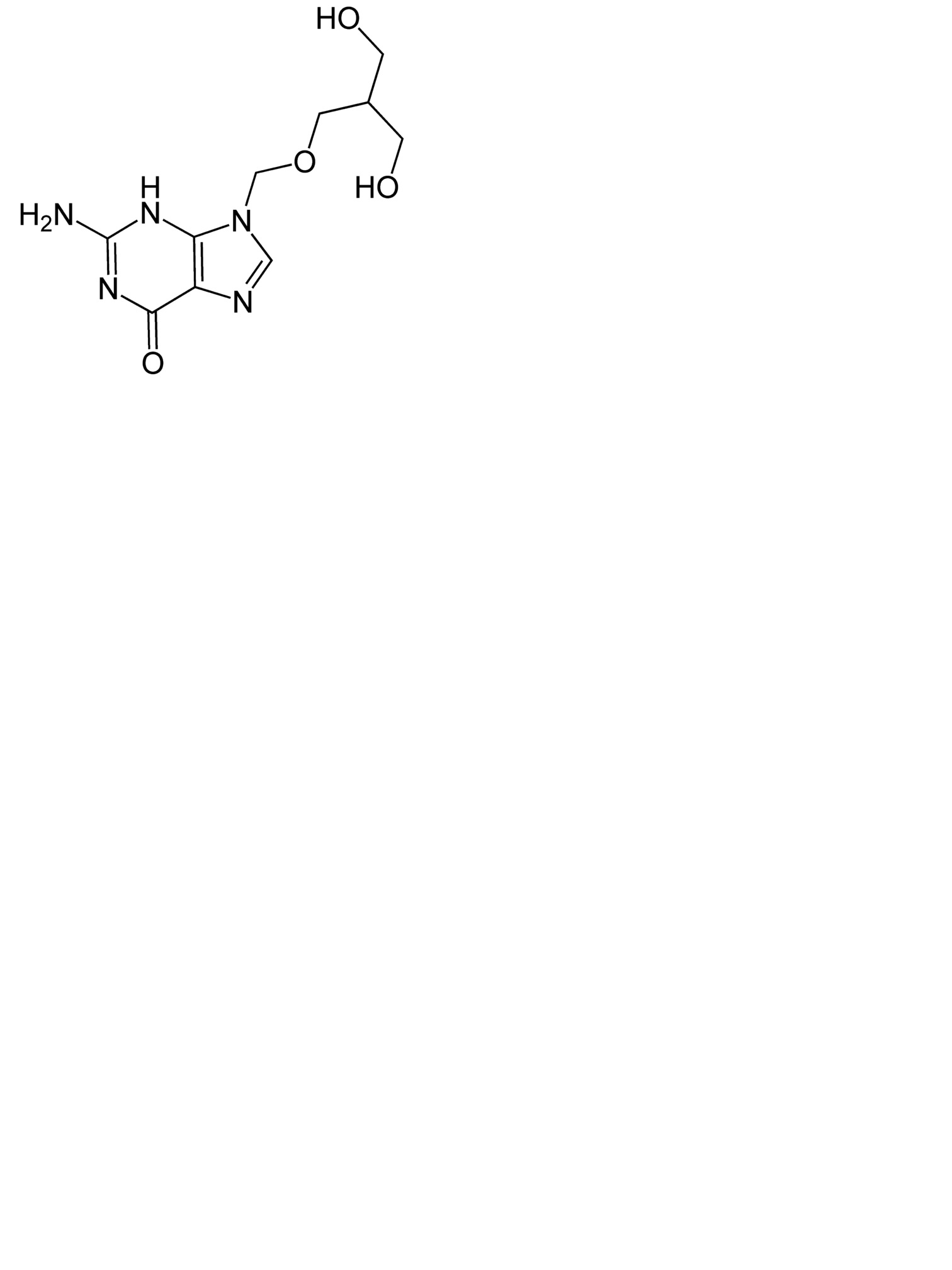
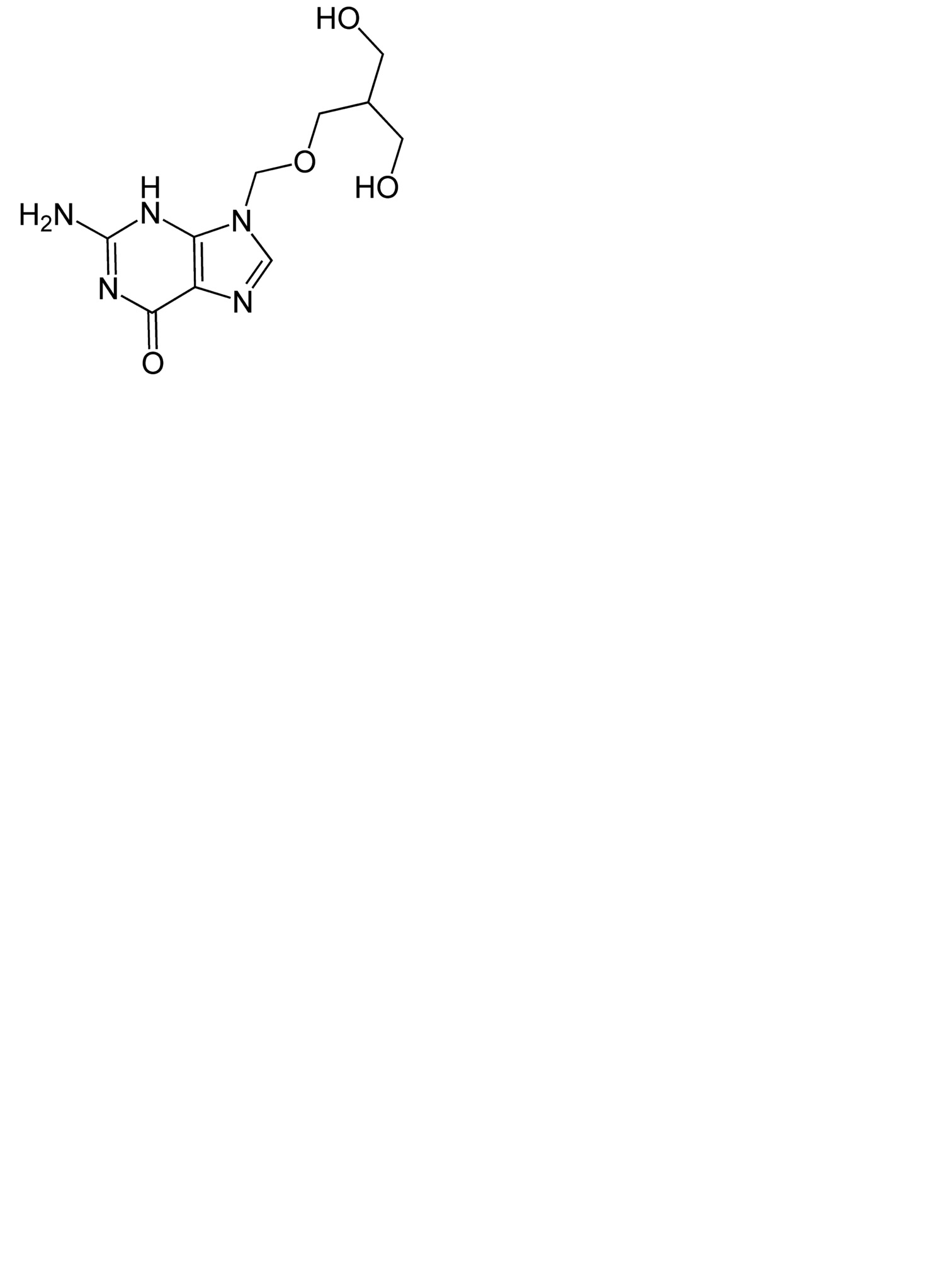
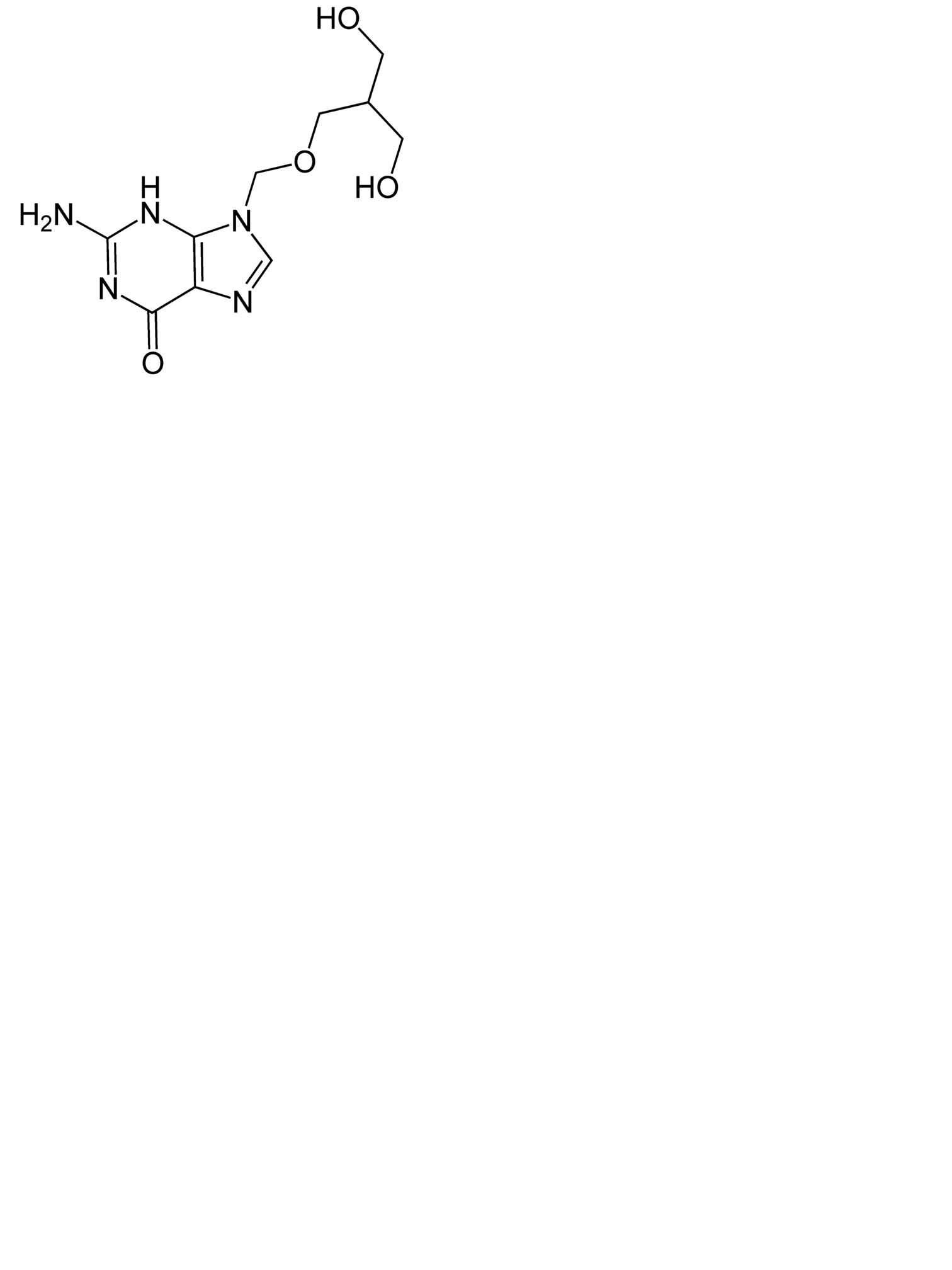
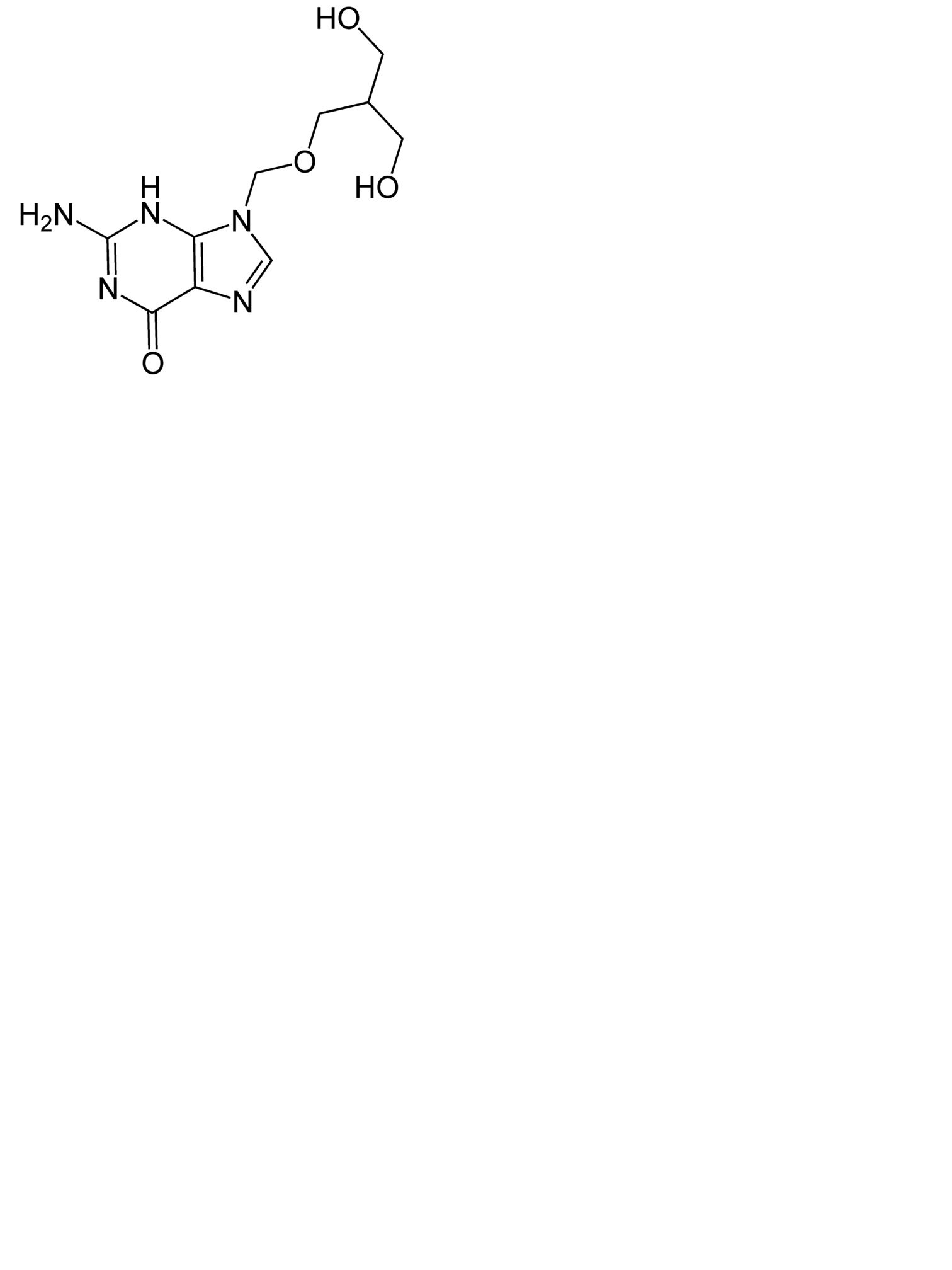
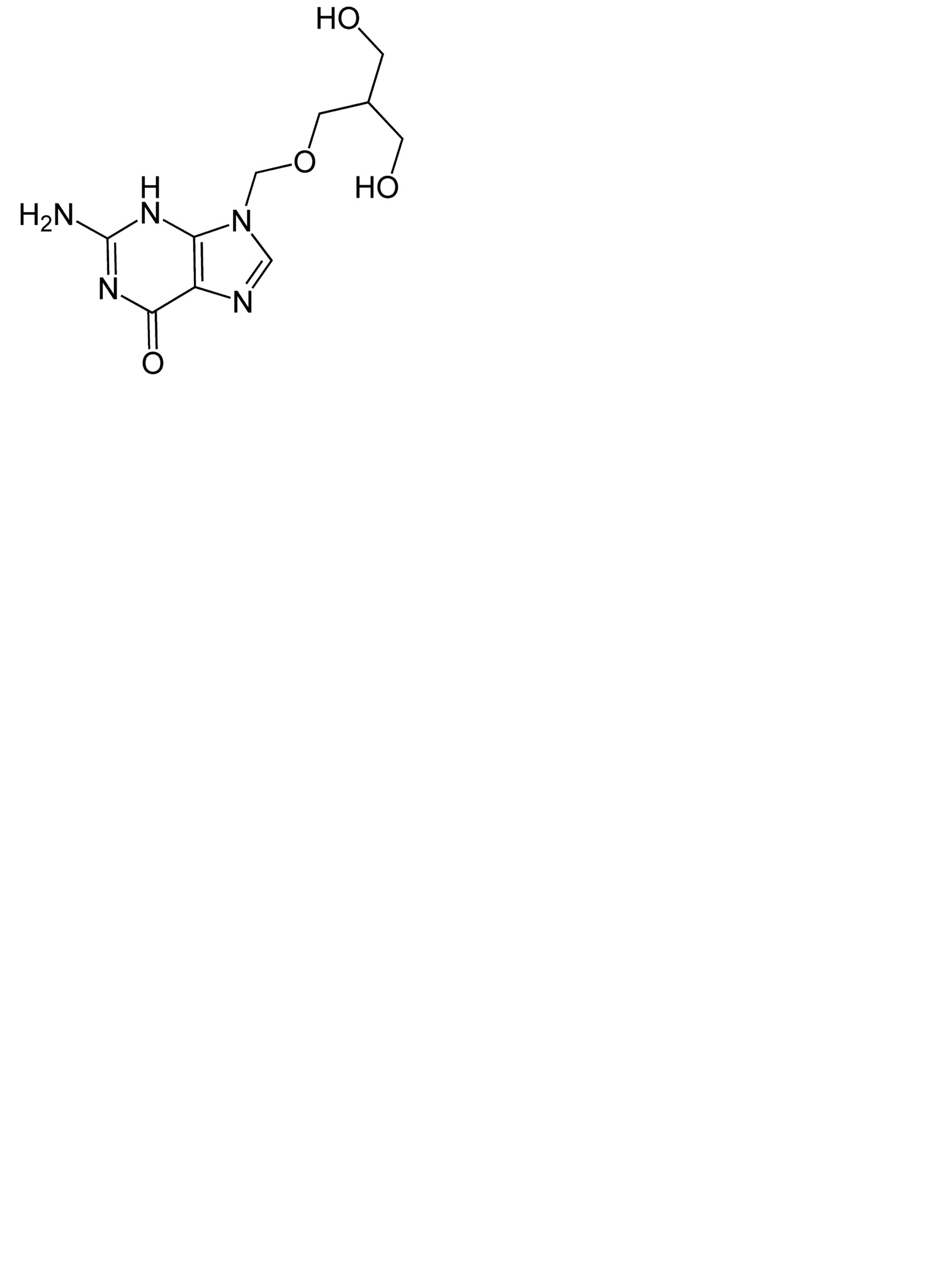
   Cấu trúc hóa học  

Thuốc nhỏ mắt
Tính ổn định của các chế phẩm   Thuốc nhỏ mắt   Tính ổn định của các chế phẩm : Ganciclovir     
Bao bì Nguyên bản Tá dược Nhiệt độ Bảo quản Thời gian ổn định Mục lục
Lọ nhựa Sản phẩm thuốc thương mại 100 mg
® = La Roche
Nước pha tiêm >> 5 mL
2-8°C Tránh ánh sáng
84 Ngày
4729
Lọ nhựa Sản phẩm thuốc thương mại 100 mg
® = La Roche
Nước pha tiêm >> 5 mL
28-32°C Tránh ánh sáng
56 Ngày
4729

  Mentions Légales