zadnja posodobitev :
27/11/2025
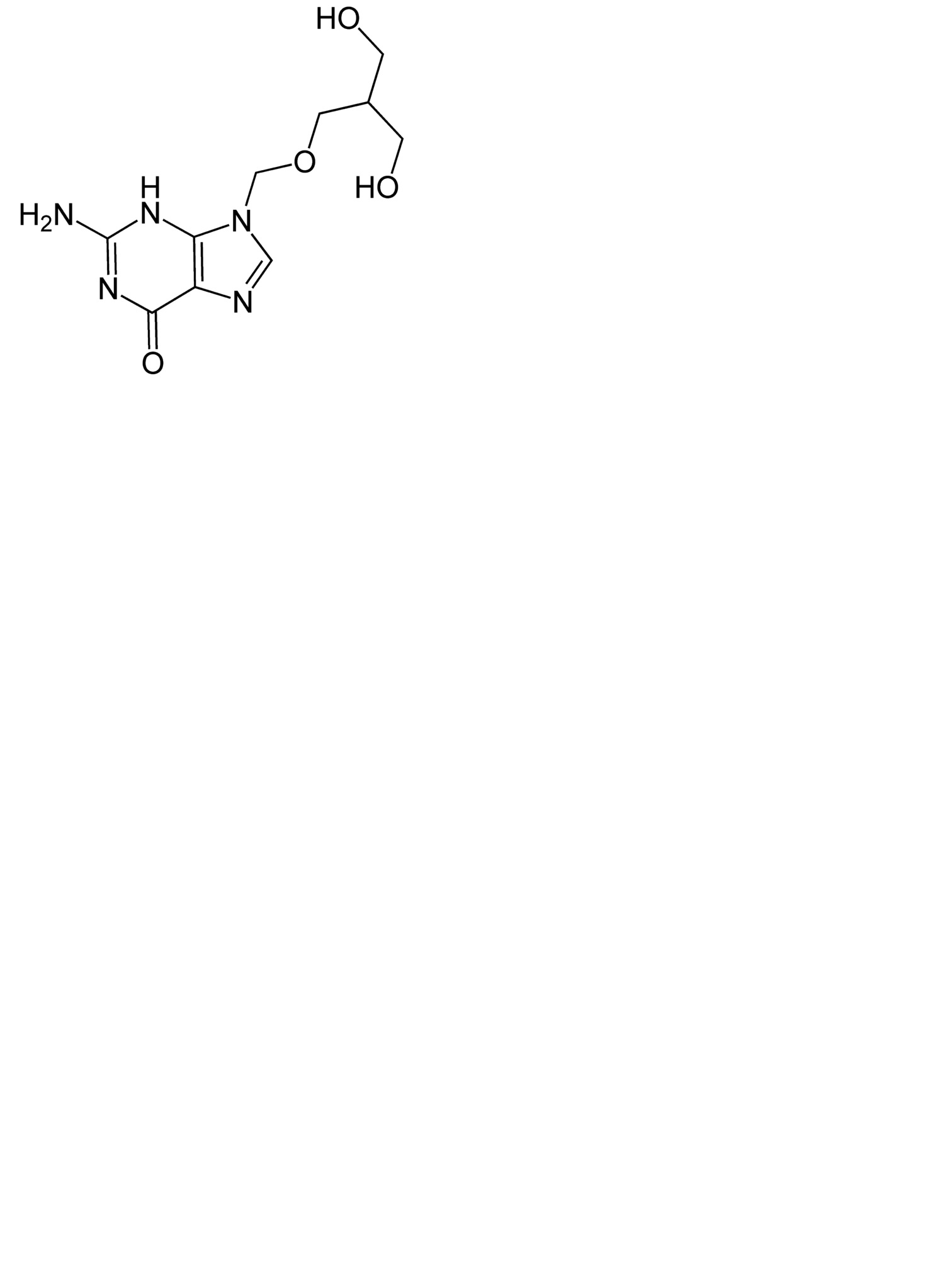
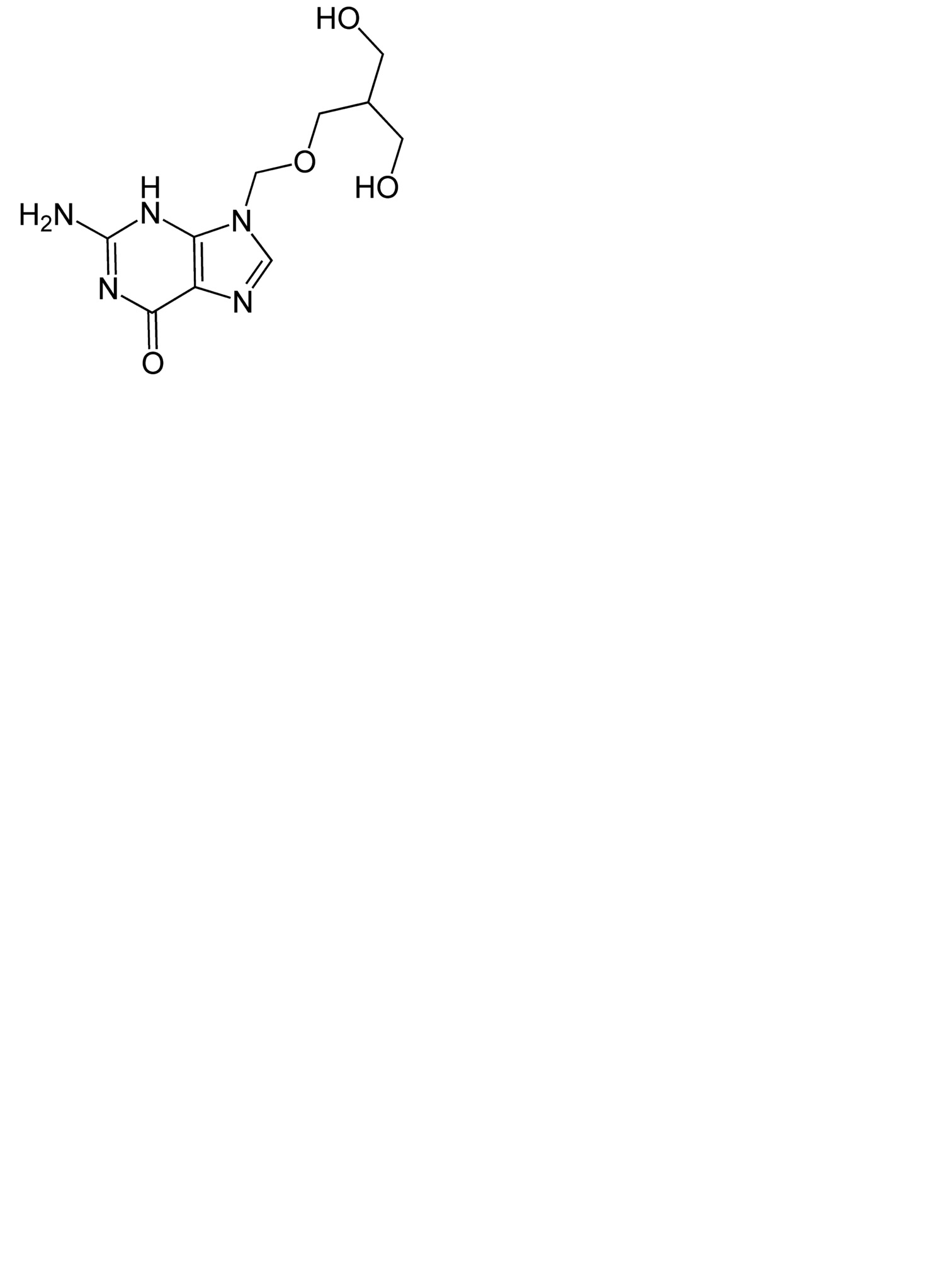
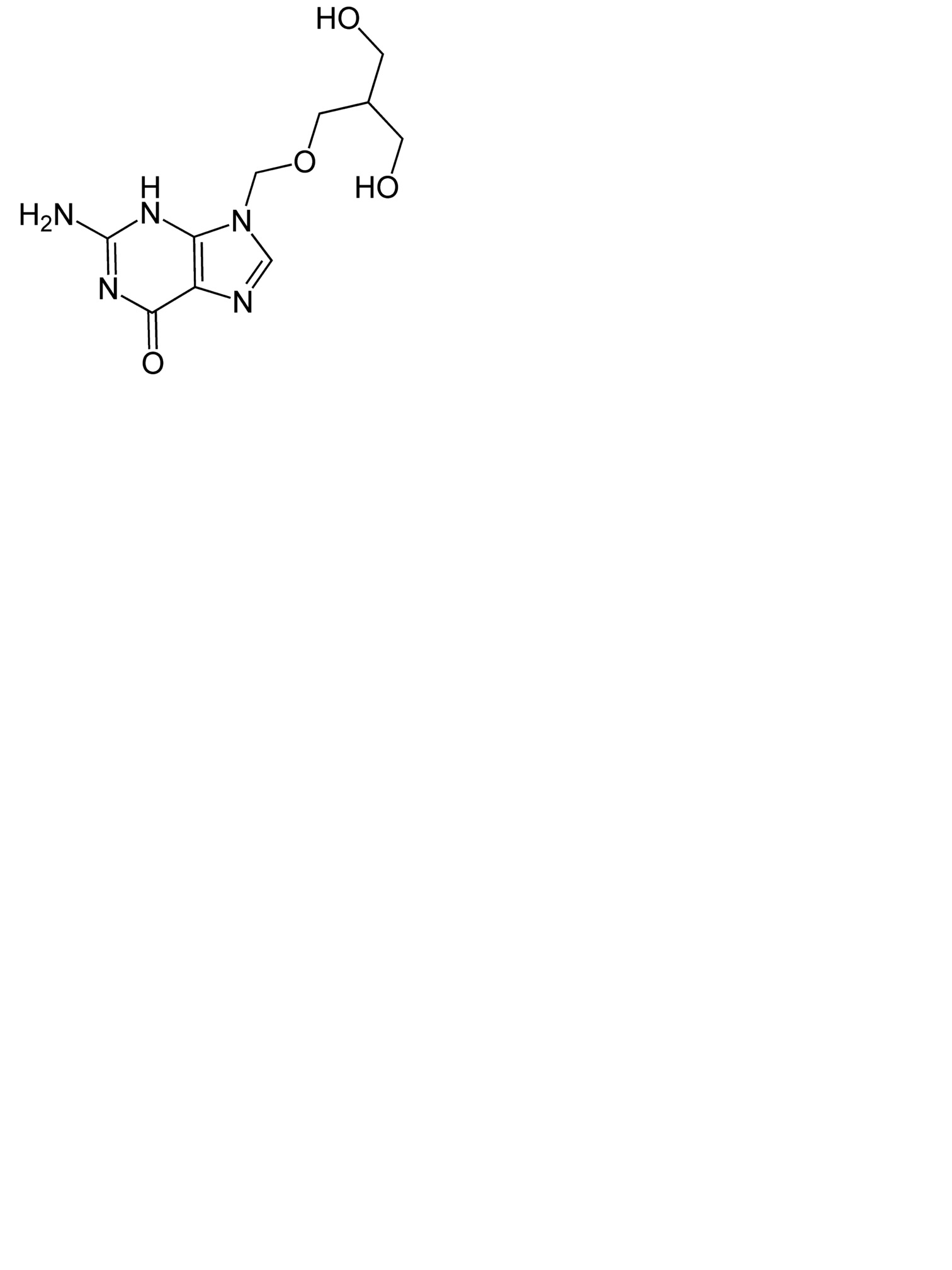
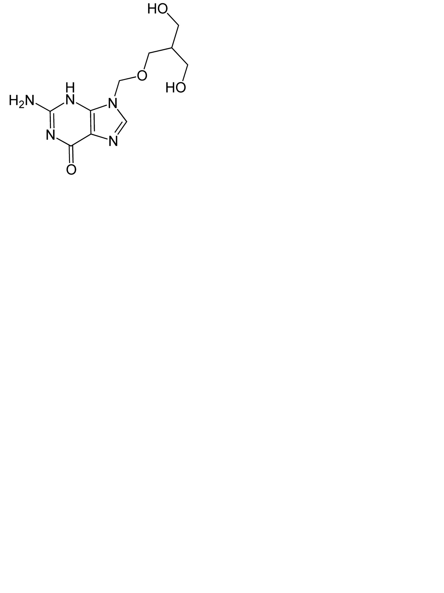
Protivirusno zdravilo   Ganciclovir  
Kapljice za oči
Stabilnost farmacevtskih preparatov Stabilnost mešanice Faktorji, ki vplivajo na stabilnost Kompatibilnost Viri pdf
   Kemična formula  

Kapljice za oči
Stabilnost farmacevtskih preparatov   Kapljice za oči   Stabilnost farmacevtskih preparatov : Ganciclovir     
Vsebnik Origine Ekscipient Temperatura Shranjevanje Trajanje stabilnosti Viri
Plastenka Komercialni drog 100 mg
® = La Roche
Voda za injekcije >> 5 mL
2-8°C Zaščiteno pred svetlobo
84 Dan
4729
Plastenka Komercialni drog 100 mg
® = La Roche
Voda za injekcije >> 5 mL
28-32°C Zaščiteno pred svetlobo
56 Dan
4729

  Mentions Légales