Dernière mise à jour :
18/03/2026
Antiviral   Ganciclovir  
Collyre
Stabilité des préparations Stabilité en mélange Facteur influençant la stabilité Compatibilités Bibliographie pdf
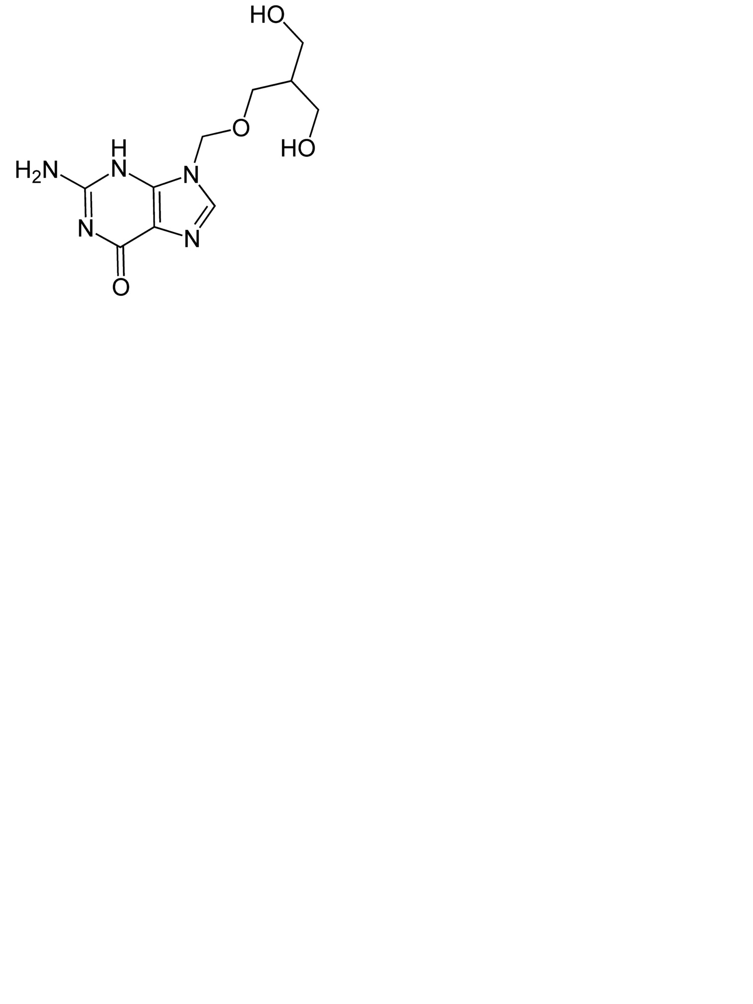
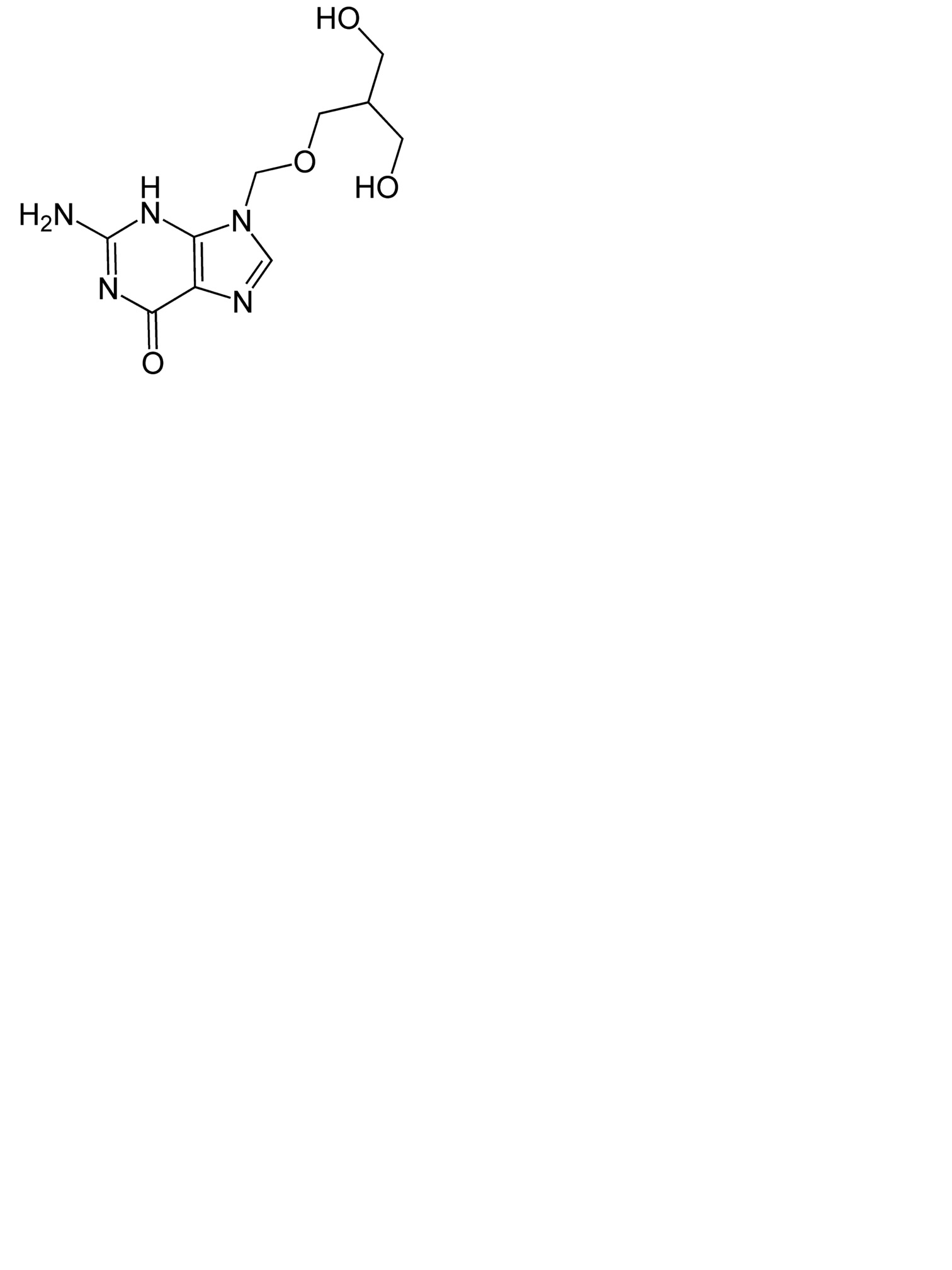
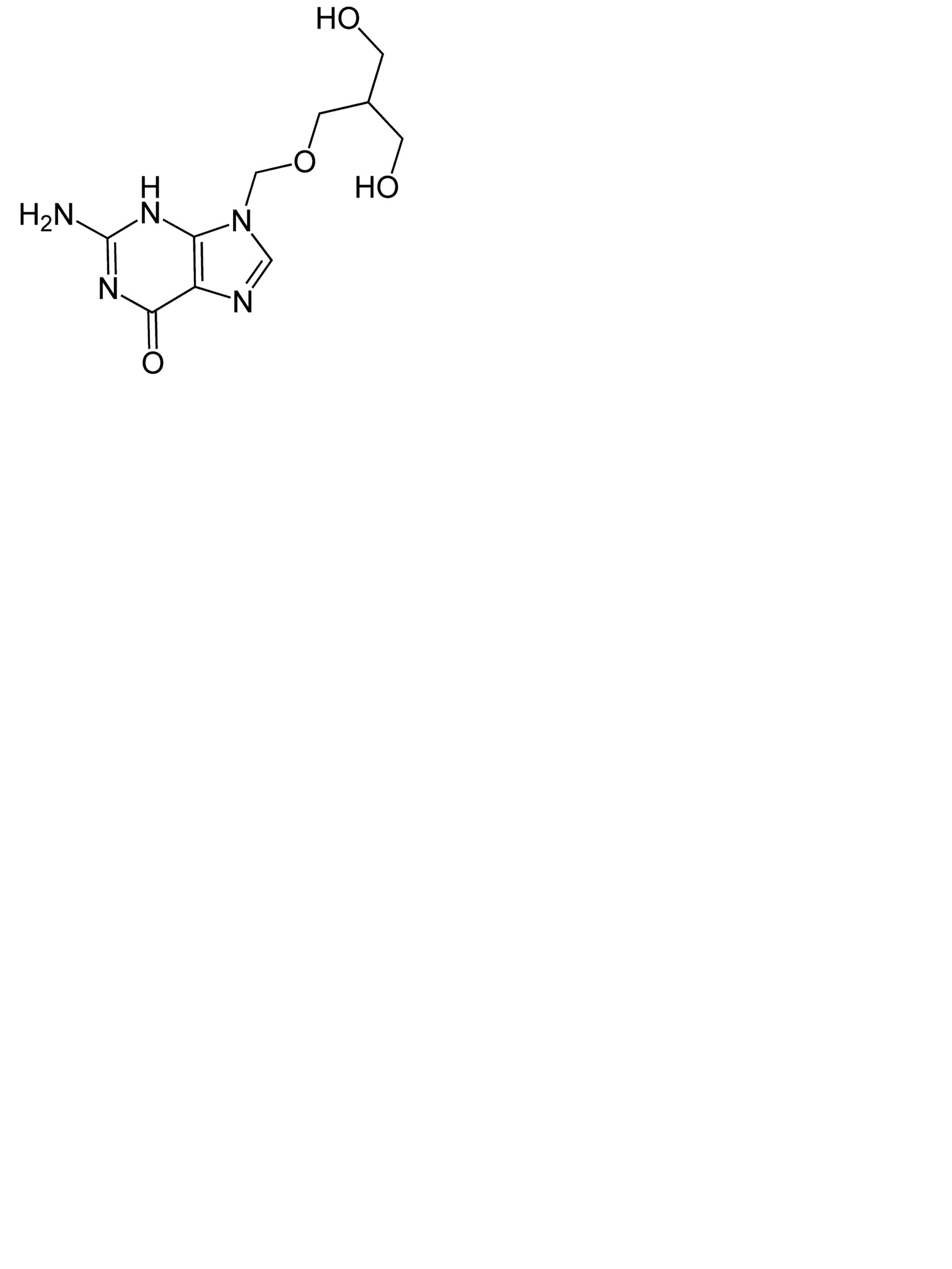
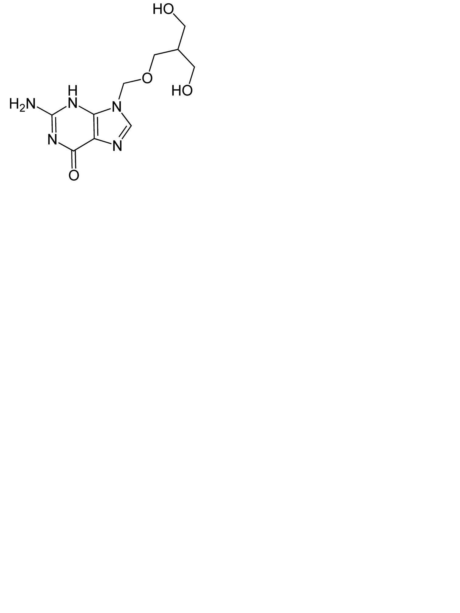
   Structure chimique  

Collyre
Stabilité des préparations   Collyre   Stabilité des préparations : Ganciclovir     
Contenant Origine Excipient Température Conservation Durée de stabilité Bibliographie
Flacon plastique Spécialité pharmaceutique 100 mg
® = La Roche
Eau ppi >> 5 mL
2-8°C A l’abri de la lumière
84 Jour
4729
Flacon plastique Spécialité pharmaceutique 100 mg
® = La Roche
Eau ppi >> 5 mL
28-32°C A l’abri de la lumière
56 Jour
4729

  Mentions Légales