Viimeisin päivitys :
27/11/2025
Viruslääkkeet   Ganciclovir  
Silmätipat
Vakaus lääkevalmisteen Stabilius seoksissa Tekijät, jotka vaikuttavat stabiliuteen Yhteensopivuus Viitteet pdf
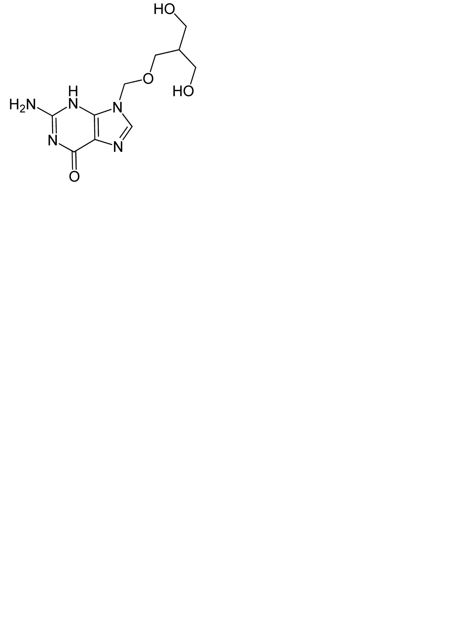
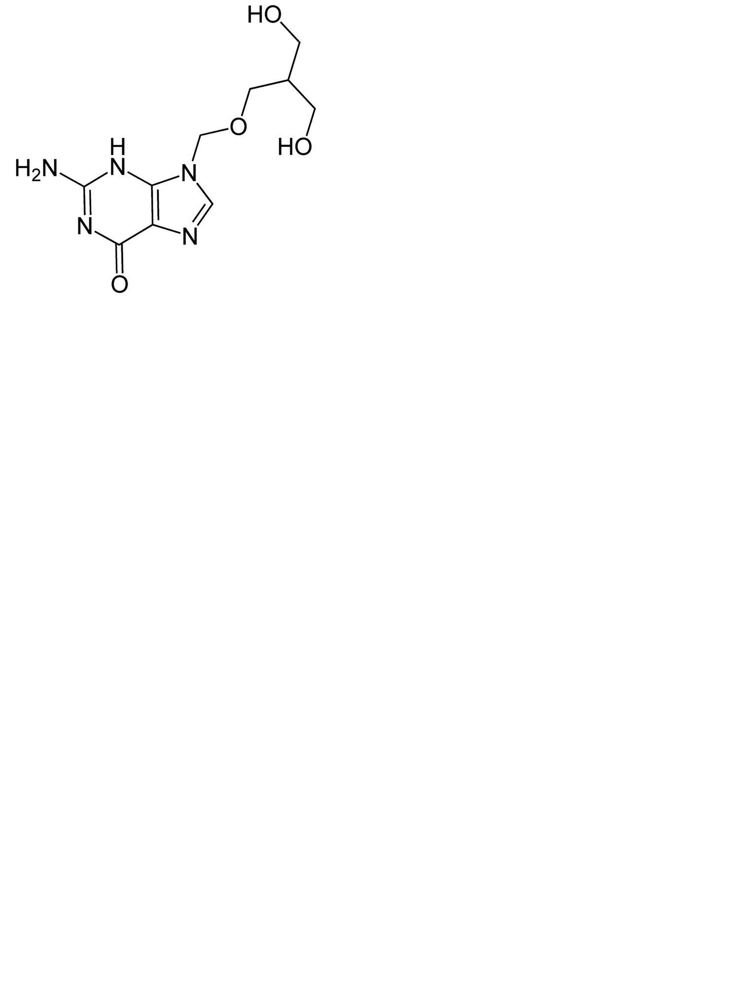
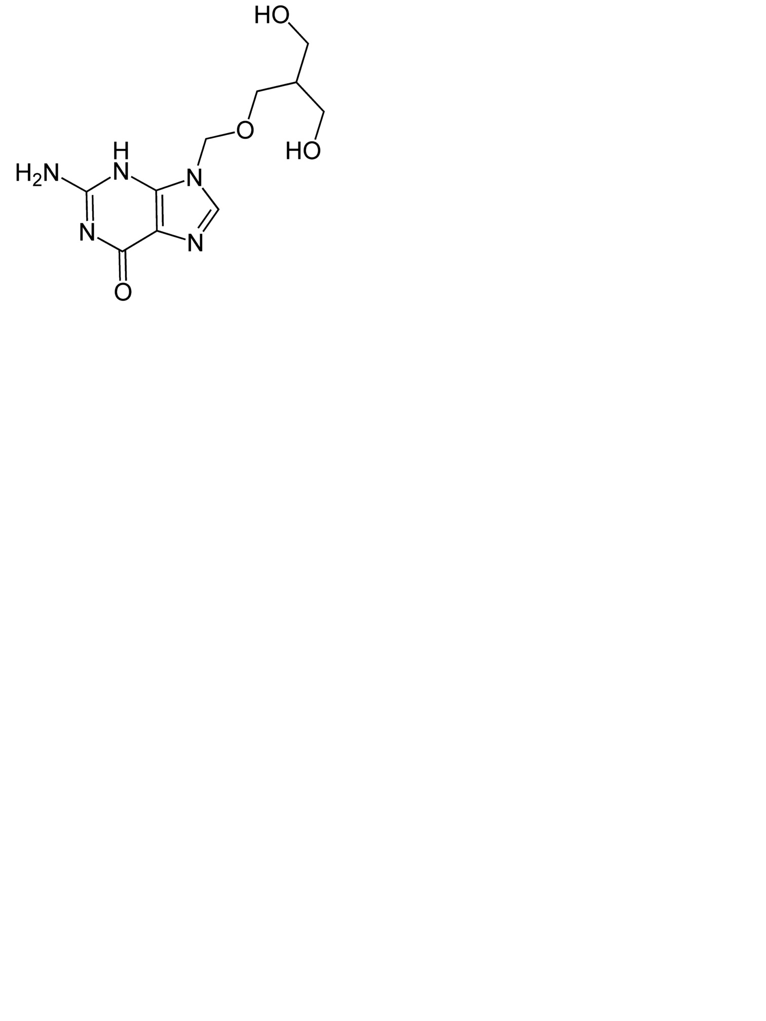
   Kemiallinen rakenne  

Silmätipat
Vakaus lääkevalmisteen   Silmätipat   Vakaus lääkevalmisteen : Ganciclovir     
Astia Origine Apuaine Lämpötila Säilytys Vakauden kesto Viitteet
Muovipullo Kaupallinen lääketuote 100 mg
® = La Roche
Injektioneste >> 5 mL
2-8°C Suojattava valolta
84 Päivä
4729
Muovipullo Kaupallinen lääketuote 100 mg
® = La Roche
Injektioneste >> 5 mL
28-32°C Suojattava valolta
56 Päivä
4729

  Mentions Légales